ÌâÄ¿ÄÚÈÝ

ÔÚ¡°ÑéÖ¤»úеÄÜÊØºã¶¨ÂÉ¡±µÄʵÑéÖУ¬ÀûÓÃÖØÎïÍÏ×ÅÖ½´ø×ÔÓÉÏÂÂäͨ¹ý´òµã¼ÆÊ±Æ÷²¢´ò³öһϵÁеĵ㣬¶ÔÖ½´øÉϵĵ㼣½øÐвâÁ¿£¬¼´¿ÉÑéÖ¤»úеÄÜÊØºã¶¨ÂÉ£®
£¨1£©ÔÚʵÑé¹ý³ÌÖУ¬ÏÂÁÐ˵·¨ÕýÈ·µÄÊÇ______£®
A£®±ØÐëʹÓõIJâÁ¿ÒÇÆ÷ÓУº´òµã¼ÆÊ±Æ÷¡¢ÌìÆ½ºÍ¿Ì¶È³ß
B£®Ö½´øÓë´òµã¼ÆÊ±Æ÷µÄÁ½¸öÏÞλ¿×ÒªÔÚͬһÊúÖ±ÏßÉÏ
C£®ÊµÑéÖÐÆäËûÌõ¼þ²»±äʱ£¬ËùÑ¡ÖØÎïµÄÖÊÁ¿´óС²»Ó°ÏìʵÑéµÄÎó²î
D£®Ñ¡ÓÃÖ½´øÉÏÈÎÒâÁ½µãµÄÊý¾Ý¶¼¿ÉÒÔÑéÖ¤»úеÄÜÊØºã¶¨ÂÉ
£¨2£©ÕýÈ·½øÐÐʵÑé²Ù×÷£¬´Ó´ò³öµÄÖ½´øÖÐÑ¡³ö·ûºÏÒªÇóµÄÖ½´ø£¬Èçͼ¼×Ëùʾ£®Í¼ÖÐOµãΪ´òµãÆðʼµã£¬ÇÒËÙ¶ÈΪÁ㣮
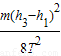
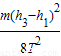
ѡȡֽ´øÉÏ´ò³öµÄÁ¬Ðøµã£¬±êÉÏA¡¢B¡¢C¡­²âµÃÆäÖÐE¡¢F¡¢Gµã¾à´òµãÆðʼµãOµÄ¾àÀë·Ö±ðΪh1¡¢h2¡¢h3£®ÒÑÖªÖØÎïµÄÖÊÁ¿Îªm£¬µ±µØÖØÁ¦¼ÓËÙ¶ÈΪg£¬´òµã¼ÆÊ±Æ÷µÄ´òµãÖÜÆÚΪT£®ÎªÑéÖ¤´ËʵÑé¹ý³ÌÖлúеÄÜÊÇ·ñÊØºã£¬ÐèÒª¼ÆËã³ö´Ó´òÏÂOµãµ½´òÏÂFµãµÄ¹ý³ÌÖУ¬ÖØÎïÖØÁ¦ÊÆÄܵļõÉÙÁ¿¡÷Ep=______£¬¶¯ÄܵÄÔö¼ÓÁ¿¡÷Ek=______£®£¨ÓÃÌâÖÐËù¸ø×Öĸ±íʾ£©
£¨3£©ÒÔ¸÷µãµ½ÆðʼµãµÄ¾àÀëhΪºá×ø±ê£¬ÒÔ¸÷µãËÙ¶ÈµÄÆ½·½v2Ϊ×Ý×ø±ê½¨Á¢Ö±½Ç×ø±êϵ£¬ÓÃʵÑé²âµÃµÄÊý¾Ý»æ³öv2-hͼÏó£¬ÈçͼÒÒËùʾ£ºÓÉv2-hͼÏßÇóµÃÖØÎïÏÂÂäµÄ¼ÓËÙ¶Èg'=______m/s2£®£¨½á¹û±£ÁôÈýλÓÐЧÊý×Ö£©

¡¾´ð°¸¡¿·ÖÎö£º¸ù¾ÝʵÑéÄ¿µÄÒÔ¼°»úеÄÜÊØºã¶¨Âɵıí´ïʽ£¬¿ÉÃ÷È·¸ÃʵÑéÐèÒª²âÁ¿µÄÎïÀíÁ¿£»
д³ö»úеÄÜÊØºãµÄ±í´ïʽ£¬¿ÉÕýÈ·½â´ð±¾Ì⣮
½â´ð£º½â£º£¨1£©¢ÙA¡¢¸ù¾Ý»úеÄÜÊØºãµÄ±í´ïʽ£¬¿ÉÖª²»ÐèÒª²âÁ¿ÖÊÁ¿£¬¹ÊA´íÎó£»
B¡¢ÎªÁ˼õСÎó²î£¬Ö½´øÓë´òµã¼ÆÊ±Æ÷µÄÁ½¸öÏÞλ¿×ÒªÔÚͬһÊúÖ±ÏßÉÏ£¬¹ÊBÕýÈ·£»
C¡¢ÓÉÓÚ×èÁ¦Êµ¼Ê²»ÄܺöÂÔ£¬¹ÊÈôÖØÎïÖÊÁ¿¹ýС£¬×èÁ¦µÄÓ°Ïì½Ï´ó£¬½á¹ûÎó²î½Ï´ó£¬¹ÊC´íÎó£»
D¡¢ÎªÁ˼õСÎó²î£¬Ó¦È¡¾àÀë½Ï´óµÄÁ½¸öµã½øÐвâÁ¿¼ÆË㣬¹ÊD´íÎó£®
¹ÊÑ¡B£®
£¨2£©ÖØÁ¦ÊÆÄܼõСÁ¿µÈÓÚmgh£¬¶øOFÁ½µãµÄ¾àÀëΪh2£¬¹Ê¼õСµÄÖØÁ¦ÊÆÄܵÈÓÚmgh2£»
FµãµÄËٶȵÈÓÚEG¶ÎµÄƽ¾ùËÙ¶È£¬¹Êv=£¬ÔòFµãµÄ¶¯ÄܵÈÓÚmv2=£»
£¨3£©¸ù¾Ý¶¯Äܶ¨Àí£ºmgh=mv2£¬Ôòv2=2gh£¬ËùÒÔͼÏóÖеÄбÂÊΪ2gÒ²¾ÍÊÇgµÄ2±¶£¬ÇóͼÖÐÖ±ÏßµÄбÂÊÈ»ºó³ýÒÔ2¾ÍµÈÓÚÖØÁ¦¼ÓËٶȵÄÖµ£¬¼ÆËãºóΪ9.68m/s2
¹Ê´ð°¸Îª£º£¨1£©B£¨2£©mgh2£¬£»£¨3£©9.68m/s2
µãÆÀ£ºÔÚ½â¾öʵÑéÎÊÌâʱҪעÒâʵÑéµÄÔ­ÀíÓÐʵÑéÖеÄ×¢ÒâÊÂÏî£¬ÌØ±ðҪעÒâÊý¾ÝµÄ´¦Àí¼°Í¼ÏóµÄÓ¦Óã®
Á·Ï°²áϵÁдð°¸
Ïà¹ØÌâÄ¿
£¨1£©ÏÖÐиßÖÐÎïÀí½Ì²ÄµÄѧÉúʵÑéÖУ¬ÌṩÁËÖØ´¸ÏßµÄÊÇ
AC
AC

A¡¢Ñо¿Æ½Å×ÎïÌåµÄÔ˶¯    B¡¢ÑéÖ¤»úеÄÜÊØºã¶¨ÂÉ
C¡¢ÑéÖ¤¶¯Á¿Êغ㶨        D¡¢Óõ¥°Ú²â¶¨ÖØÁ¦¼ÓËÙ¶È
£¨2£©ÔÚÀûÓÃ×ÔÓÉÂäÌåÔ˶¯ÑéÖ¤»úеÄÜÊØºã¶¨ÂɵÄʵÑéÖУºÈô´òµã¼ÆÊ±Æ÷Ëù½Ó½»Á÷µçµÄƵÂÊΪ50ºÕ×È£¬¼×¡¢ÒÒÁ½ÌõʵÑéÖ½´ø£¬Èçͼ1Ëùʾ£¬Ó¦Ñ¡
¼×
¼×
Ö½´øºÃ£®ÈôÒѲâµÃµã2µ½4¼ä¾àÀëΪs1£¬µã0µ½3¼ä¾àÀëΪs2£¬´òµãÖÜÆÚΪT£¬ÑéÖ¤ÖØÎ↑ʼÏÂÂäµ½´òµã¼ÆÊ±Æ÷´òϵã3Õâ¶Îʱ¼äÄÚ»úеÄÜÊØºã£¬s1¡¢s2ºÍTÓ¦Âú×ãµÄ¹ØÏµÎªT=
S1
2
2gS2
S1
2
2gS2
£®

£¨3£©Ó°ÏìÎïÖʲÄÁϵç×èÂʵÄÒòËØºÜ¶à£®Ò»°ã½ðÊô²ÄÁϵĵç×èÂÊËæÎ¶ȵÄÉý¸ßÔö´ó£¬¶ø°ëµ¼Ìå²ÄÁϵĵç×èÂÊÔòËæÎ¶ȵÄÉý¸ß¶ø¼õС£®Ä³Ð£Ñо¿ÐÔѧϰС×éΪÁËÑо¿Ä³ÖÖµ¼µç²ÄÁϵĵ¼µçÌØÐÔ£¬ËûÃÇÓøÃÖÖ²ÄÁÏÖÆ×÷³Éµç×èÖµ½ÏСµÄÏß×´Ôª¼þz×öʵÑ飬ËùÓõçѹ±íµÄÁ¿³ÌΪ3V£¬µçÁ÷±íµÄÁ¿³ÌΪ3A£¬²âµÃÔª¼þZÖеĵçÁ÷ÓëÏàÓ¦µçѹµÄ9×éÊý¾Ý±êÔÚI-UͼÉÏ£®
¢ÙËûÃǽøÐÐʵÑéӦѡÓõÄʵÎïµç·ͼÊÇͼ2ÖеÄ
C
C
£®

¢ÚÔÚ½»Á÷ÆÀ¼Û¹ý³ÌÖÐijͬѧÌá³ö£¬ÓÐ2×éʵÑéÊý¾Ý´æÔÚÃ÷ÏԵĴíÎó£¬ÄãÈÏΪÊÇ
C¡¢D
C¡¢D
£¨Ö»ÐèÌîÉÏÓë¸ÃÊý¾Ý¶ÔÓ¦µÄµãO¡¢A¡¢B¡­£©
¢ÛÇëÔÚͼ3ÉÏ»­³öÔª¼þZµÄ·ü°²ÌØÐÔÇúÏߣ¬ÅжÏÔª¼þZÊÇ
°ëµ¼Ìå
°ëµ¼Ìå
²ÄÁÏ£¨¡°½ðÊô¡±»ò¡°°ëµ¼Ì塱£©£®
£¨2010?³É¶¼¶þÄ££©£¨1£©ÔÚÑéÖ¤¡°»úеÄÜÊØºã¶¨ÂÊ¡±µÄÊÔÑéÖУº
¢ÙÏÂÃæÐðÊöÕýÈ·µÄÊÇ
AB
AB
£¨ÌîÐòºÅ×Öĸ£©
A£®Ñ¡ÓõÄÖØÎïµÄÌå»ýÓ¦µ±Ð¡Ò»Ð©
B£®²Ù×÷ʱӦÏÈͨµçÔÙÊÍ·ÅÖ½´ø
C£®Ó¦¸ÃÑ¡Óõ㼣ÇåÎú£¬ÇÒµÚÒ»¡¢¶þÁ½µã¼äµÄ¾àÀë½Ó½ü2mmµÄÖ½´ø½øÐзÖÎö
D£®µç´Å´òµã¼ÆÊ±Æ÷¶¼Ó¦½ÓÔÚµçѹΪ20VµÄ½»Á÷µçÔ´ÉÏ
¢ÚʵÑéÊÒÓÐÏÂÁÐÆ÷²Ä¿É¹©Ñ¡ÓãºÌú¼Ų̈£¬µç´Å´òµã¼ÆÊ±Æ÷£¨°üÀ¨¸´Ð´Ö½£©£¬Ö½´ø£¬Í£±í£¬µÍѹ½»Á÷µçÔ´£¨´ø¿ª¹Ø£©£¬µ¼Ïߣ¬ÌìÆ½£¬¿Ì¶È³ß£®
ÆäÖв»±ØÒªµÄÆ÷²ÄÓÐ
Í£±í£¬ÌìÆ½
Í£±í£¬ÌìÆ½
£»È±ÉÙµÄÆ÷²ÄÊÇ
ÖØÎï
ÖØÎï
£®
£¨2£©Ä³Í¬Ñ§Ïë²âij¸öµç×èµÄµç×èÖµRx£¨Ô¼Îª130¦¸£©£¬Îª´ËËûÕÒÀ´ÏÂÁÐÆ÷²Ä£º
A£®µçÁ÷E£ºµç¶¯ÊÆÔ¼Îª1.5V£¬ÄÚ×è¿ÉºöÂÔ²»¼Æ
B£®µçÁ÷±íA1£ºÁ¿³ÌΪ0¡«10mA£¬ÄÚµç×èr1=10¦¸
C£®µçÁ÷±íA2£ºÁ¿³ÌΪ0¡«20mAµç×èr2ԼΪ5¦¸
D£®¶¨Öµµç×èR0£º×èÖµR0=90¦¸
E£®»¬¶¯±ä×èÆ÷R1£º×î´ó×èֵΪ20¦¸
F£®»¬¶¯±ä×èÆ÷R2£º×î´ó×èֵΪ1000¦¸
G£®µ¥µ¶µ¥ÖÀ¿ª¹ØS£¬µ¼ÏßÈô¸É
¢Ù¸ÃͬѧµÄÉè¼ÆË¼Â·ÊÇ£ºÏȽ«ÆäÖÐÒ»Ö»µçÁ÷±í¸Ä×°³Éµçѹ±í£¬È»ºóÀûÓ÷ü°²·¨²â³öRx£®ÎªÁ˾¡Á¿×¼È·µÄ²â³öRxµÄ×èÖµ£¬ÇëÄã¸ù¾ÝÕÒµ½µÄÆ÷²ÄºÍ¸ÃͬѧµÄÉè¼ÆË¼Â·£¬ÔÚÐéÏß¿òÄÚ»­³öʵÑéµç·ͼ£¬²¢±ê³öÆ÷²Ä·ûºÅ£®
¢ÚÄãËùÑ¡ÓõϬ¶¯±ä×èÆ÷ÊÇ
R1
R1
£¨ÌîÆ÷²ÄÐòºÅ×Öĸ»òÆ÷²Ä·ûºÅ£©£®
¢ÛÈôij´Î²âÁ¿ÖеçÁ÷±íA1µÄʾÊýΪI1£¬µçÁ÷±íA2µÄʾÊýΪI2£¬ÔòRxµÄ±í´ïʽΪ£ºRx=
I1(R0+r1)
I2-I1
I1(R0+r1)
I2-I1
£®

Î¥·¨ºÍ²»Á¼ÐÅÏ¢¾Ù±¨µç»°£º027-86699610 ¾Ù±¨ÓÊÏ䣺58377363@163.com

¾«Ó¢¼Ò½ÌÍø