ÌâÄ¿ÄÚÈÝ
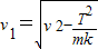
ÈçͼËùʾ£¬ÖÊÁ¿ÎªMµÄ³¤»¬¿é¾²Ö¹ÔÚ¹â»¬Ë®Æ½ÃæÉÏ£¬×ó²à¹Ì¶¨Ò»¾¢¶ÈϵÊýk×ã¹»´óµÄˮƽÇáÖʵ¯»É£¬ÓÒ²àÓÃÒ»²»¿ÉÉ쳤µÄϸÇáÉþÁ¬½ÓÓÚÊúֱǽÉÏ£¬Ï¸ÉþËùÄܳÐÊܵÄ×î´óÀÁ¦ÎªT£®Ê¹Ò»ÖÊÁ¿Îªm¡¢³õËÙ¶ÈΪvµÄСÎï¿é£¬ÔÚ»¬¿éÉÏÎÞĦ²ÁµØÏò×󻬶¯£¬¶øºóѹËõµ¯»É£®£¨µ¯»Éµ¯ÐÔÊÆÄܵıí´ïʽEp=£¨1£©¸ø³öϸÉþ±»À¶ÏµÄÌõ¼þ£®
£¨2£©»¬¿éÔÚϸÉþÀ¶Ïºó±»¼ÓËٵĹý³ÌÖУ¬ËùÄÜ»ñµÃµÄ×î´óÏò×ó¼ÓËÙ¶ÈΪ¶àÉÙ£®
£¨3£©ÊÔÖ¤Ã÷£ºÎïÌå×îºóÀ뿪»¬¿éʱ£¬Ïà¶ÔµØÃæ²»ÏòÓÒÔ˶¯µÄÌõ¼þÊÇv£¾
¡¾´ð°¸¡¿·ÖÎö£º£¨1£©Ï¸ÉþÇ¡ºÃ±»À¶Ïʱ£¬Ï¸ÉþµÄÀÁ¦Ç¡ºÃµÈÓÚT£¬¸ù¾Ýºú¿Ë¶¨ÂÉÇó³öµ¯»ÉµÄѹËõÁ¿£®ÔÚµ¯»É±»Ñ¹ËõµÄ¹ý³ÌÖУ¬Îï¿éµÄ¶¯ÄÜת»¯Îªµ¯»ÉµÄµ¯ÐÔÊÆÄÜ£¬ÓÉ»úеÄÜÊØºãÇó½âϸÉþ±»À¶ÏʱÎï¿éµÄËÙ¶ÈÌõ¼þ£®
£¨2£©»¬¿éÔÚϸÉþÀ¶Ïºó±»¼ÓËٵĹý³ÌÖУ¬Îï¿é×ö¼õËÙÔ˶¯£¬³¤»¬¿é×ö¼ÓËÙÔ˶¯£¬µ±Á½ÕßËÙ¶ÈÏàͬʱ£¬µ¯»ÉѹËõʱx×î´ó£¬M»ñµÃµÄ¼ÓËÙ¶È×î´ó£¬¸ù¾Ýϵͳ¶¯Á¿ÊغãºÍ»úеÄÜÊØºãÇó³öµ¯»É×î´óѹËõÁ¿£¬ÔÙÓÉÅ£¶ÙµÚ¶þ¶¨ÂÉÇó½âM×î´óµÄ¼ÓËÙ¶È£®
£¨3£©ÎïÌå×îºóÀ뿪»¬¿éʱ£¬Ïà¶ÔµØÃæ²»ÏòÓÒÔ˶¯£¬¼´Ïà¶ÔµØÃæµÄËÙ¶ÈΪÁ㣬¸ù¾Ýϵͳ¶¯Á¿ÊغãºÍ»úеÄÜÊØºãÁÐʽ£¬Çó³övµÄÌõ¼þ£®
½â´ð£º½â£º£¨1£©ÉèϸÉþ¸Õ±»À¶Ïʱµ¯»ÉµÄѹËõÁ¿Îªx£¬´ËʱÓÐ kx=T
Ϊʹµ¯»ÉѹËõ´ïµ½x£¬¶ÔСÎï¿éÒªÇóÊÇ

Óɴ˵õ½£¬Ï¸Éþ±»À¶ÏµÄÌõ¼þÊÇ£º
£¨2£©Éþ¶Ïʱ£¬Ð¡ÎïÌåËÙ¶ÈΪv1£¬ÔòÓÐ
=
+
ÓÖkx=T
½âµÃ
¶øºóMÔÚµ¯Á¦×÷ÓÃÏÂÓɾ²Ö¹¿ªÊ¼¼ÓËÙ£¬Ö±ÖÁÓëm´ïµ½¹²Í¬ËÙ¶Èv2£¬´Ëʱµ¯»ÉѹËõʱx×î´ó£¬ÔòÓɶ¯Á¿ÊغãºÍ»úеÄÜÊØºãµÃ
mv1=£¨M+mv2
=
+
´ËʱMµÄ¼ÓËÙ¶È×î´óΪ a=
ÁªÁ¢½âµÃa=
£¨3£©Ä¾°åÓëС»¬¿éͨ¹ýµ¯»É×÷ÓÃÍê±Ïʱ£¬Ïà¶ÔµØÃæÇ¡ºÃ²»ÏòÓÒÔ˶¯Ê±£¬Ð¡»¬¿éÏà¶ÔµØÃæµÄËÙ¶ÈӦΪ0£¬Éè´Ëʱľ°åµÄËÙ¶ÈΪV1£¬²¢ÉèС»¬¿éѹËõµ¯»ÉǰµÄËÙ¶ÈΪv¡ä£¬Éþ¶Ï˲¼äС»¬¿éµÄËÙ¶ÈΪv1£¬ÔòÓÐ mv=MV1
=
ÓÉÉϽâµÃС»¬¿é×îºóÀ뿪ľ°åʱ£¬Ïà¶ÔµØÃæËÙ¶ÈΪÁãµÄÌõ¼þ
v¡ä=
£¬ÇÒm£¾M
ËùÒÔÎïÌå×îºóÀ뿪»¬¿éʱ£¬Ïà¶ÔµØÃæ²»ÏòÓÒÔ˶¯µÄÌõ¼þÊÇv£¾
£¬ÇÒm£¾M£®
´ð£º£¨1£©Ï¸Éþ±»À¶ÏµÄÌõ¼þ¼þÊÇ
£®
£¨2£©»¬¿éÔÚϸÉþÀ¶Ïºó±»¼ÓËٵĹý³ÌÖУ¬ËùÄÜ»ñµÃµÄ×î´óÏò×ó¼ÓËÙ¶ÈΪµÃa=
£®
£¨3£©Ö¤Ã÷¼ûÉÏ£®
µãÆÀ£º±¾ÌâÊÇϵͳ¶¯Á¿ÊغãºÍ»úеÄÜÊØºãµÄ×ÛºÏÓ¦Óã¬ÒªÍÚ¾òËùÒþº¬µÄÁÙ½çÌõ¼þ£ºÏ¸Éþ±»À¶Ï¸ÕºÃ±»À¶Ïʱ£¬Ï¸ÉþµÄÀÁ¦´ïµ½×î´ó£®
£¨2£©»¬¿éÔÚϸÉþÀ¶Ïºó±»¼ÓËٵĹý³ÌÖУ¬Îï¿é×ö¼õËÙÔ˶¯£¬³¤»¬¿é×ö¼ÓËÙÔ˶¯£¬µ±Á½ÕßËÙ¶ÈÏàͬʱ£¬µ¯»ÉѹËõʱx×î´ó£¬M»ñµÃµÄ¼ÓËÙ¶È×î´ó£¬¸ù¾Ýϵͳ¶¯Á¿ÊغãºÍ»úеÄÜÊØºãÇó³öµ¯»É×î´óѹËõÁ¿£¬ÔÙÓÉÅ£¶ÙµÚ¶þ¶¨ÂÉÇó½âM×î´óµÄ¼ÓËÙ¶È£®
£¨3£©ÎïÌå×îºóÀ뿪»¬¿éʱ£¬Ïà¶ÔµØÃæ²»ÏòÓÒÔ˶¯£¬¼´Ïà¶ÔµØÃæµÄËÙ¶ÈΪÁ㣬¸ù¾Ýϵͳ¶¯Á¿ÊغãºÍ»úеÄÜÊØºãÁÐʽ£¬Çó³övµÄÌõ¼þ£®
½â´ð£º½â£º£¨1£©ÉèϸÉþ¸Õ±»À¶Ïʱµ¯»ÉµÄѹËõÁ¿Îªx£¬´ËʱÓÐ kx=T
Ϊʹµ¯»ÉѹËõ´ïµ½x£¬¶ÔСÎï¿éÒªÇóÊÇ
Óɴ˵õ½£¬Ï¸Éþ±»À¶ÏµÄÌõ¼þÊÇ£º
£¨2£©Éþ¶Ïʱ£¬Ð¡ÎïÌåËÙ¶ÈΪv1£¬ÔòÓÐ
ÓÖkx=T
½âµÃ
¶øºóMÔÚµ¯Á¦×÷ÓÃÏÂÓɾ²Ö¹¿ªÊ¼¼ÓËÙ£¬Ö±ÖÁÓëm´ïµ½¹²Í¬ËÙ¶Èv2£¬´Ëʱµ¯»ÉѹËõʱx×î´ó£¬ÔòÓɶ¯Á¿ÊغãºÍ»úеÄÜÊØºãµÃ
mv1=£¨M+mv2
´ËʱMµÄ¼ÓËÙ¶È×î´óΪ a=
ÁªÁ¢½âµÃa=
£¨3£©Ä¾°åÓëС»¬¿éͨ¹ýµ¯»É×÷ÓÃÍê±Ïʱ£¬Ïà¶ÔµØÃæÇ¡ºÃ²»ÏòÓÒÔ˶¯Ê±£¬Ð¡»¬¿éÏà¶ÔµØÃæµÄËÙ¶ÈӦΪ0£¬Éè´Ëʱľ°åµÄËÙ¶ÈΪV1£¬²¢ÉèС»¬¿éѹËõµ¯»ÉǰµÄËÙ¶ÈΪv¡ä£¬Éþ¶Ï˲¼äС»¬¿éµÄËÙ¶ÈΪv1£¬ÔòÓÐ mv=MV1
ÓÉÉϽâµÃС»¬¿é×îºóÀ뿪ľ°åʱ£¬Ïà¶ÔµØÃæËÙ¶ÈΪÁãµÄÌõ¼þ
v¡ä=
ËùÒÔÎïÌå×îºóÀ뿪»¬¿éʱ£¬Ïà¶ÔµØÃæ²»ÏòÓÒÔ˶¯µÄÌõ¼þÊÇv£¾
´ð£º£¨1£©Ï¸Éþ±»À¶ÏµÄÌõ¼þ¼þÊÇ
£¨2£©»¬¿éÔÚϸÉþÀ¶Ïºó±»¼ÓËٵĹý³ÌÖУ¬ËùÄÜ»ñµÃµÄ×î´óÏò×ó¼ÓËÙ¶ÈΪµÃa=
£¨3£©Ö¤Ã÷¼ûÉÏ£®
µãÆÀ£º±¾ÌâÊÇϵͳ¶¯Á¿ÊغãºÍ»úеÄÜÊØºãµÄ×ÛºÏÓ¦Óã¬ÒªÍÚ¾òËùÒþº¬µÄÁÙ½çÌõ¼þ£ºÏ¸Éþ±»À¶Ï¸ÕºÃ±»À¶Ïʱ£¬Ï¸ÉþµÄÀÁ¦´ïµ½×î´ó£®
Á·Ï°²áϵÁдð°¸
Ïà¹ØÌâÄ¿
| A¡¢µØÃæ¶ÔШÐÎÎï¿éµÄÖ§³ÖÁ¦Îª£¨M+m£©g | B¡¢µØÃæ¶ÔШÐÎÎï¿éµÄĦ²ÁÁ¦ÎªÁã | C¡¢Ð¨ÐÎÎï¿é¶ÔСÎï¿éĦ²ÁÁ¦¿ÉÄÜΪÁã | D¡¢Ð¡Îï¿éÒ»¶¨Êܵ½ËĸöÁ¦×÷Óà |