题目内容
“轨道电子俘获”是放射性同位素衰变的一种形式,它是指原子核(称为母核)俘获一个核外电子,使其内部的一个质子变为中子,并放出一个中微子,从而变成一个新核(称为子核)的过程.中微子的质量远小于质子的质量,且不带电,很难被探测到,人们最早就是通过核的反冲而间接证明中微子的存在的.一个静止的原子核发生“轨道电子俘获”,衰变为子核并放出中微子,下列说法正确的是( )A.母核的质量数小于子核的质量数
B.母核的电荷数大于子核的电荷数
C.子核的动量与中微子的动量相同
D.子核的动能大于中微子的动能
【答案】分析:核反应前后质量数和核电荷数守恒,原子核(称为母核)俘获电子的过程中动量守恒.
解答:解:A、原子核(称为母核)俘获一个核外电子,使其内部的一个质子变为中子,并放出一个中微子,从而变成一个新核(称为子核)的过程.电荷数少1,质量数不变.故A错误,B正确.
C、原子核(称为母核)俘获电子的过程中动量守恒,初状态系统的总动量为0,则子核的动量和中微子的动量大小相等,方向相反.故C错误.
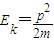
D、子核的动量大小和中微子的动量大小相等,由于中微子的质量很小,根据
知,中微子的动能大于子核的动能.故D错误.
故选B.
点评:本题考查了原子结构中原子核的反应和应用,主要是核反应前后质量数和核电荷数守恒.题目新但知识是原子结构的知识应用.
解答:解:A、原子核(称为母核)俘获一个核外电子,使其内部的一个质子变为中子,并放出一个中微子,从而变成一个新核(称为子核)的过程.电荷数少1,质量数不变.故A错误,B正确.
C、原子核(称为母核)俘获电子的过程中动量守恒,初状态系统的总动量为0,则子核的动量和中微子的动量大小相等,方向相反.故C错误.
D、子核的动量大小和中微子的动量大小相等,由于中微子的质量很小,根据
故选B.
点评:本题考查了原子结构中原子核的反应和应用,主要是核反应前后质量数和核电荷数守恒.题目新但知识是原子结构的知识应用.
练习册系列答案
相关题目