题目内容
若取地球的第一宇宙速度为8km/s,某行星的质量是地球质量的6倍,半径是地球半径的1.5倍,则这一行星的第一宇宙速度为 .
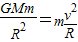
【答案】分析:第一宇宙速度计算方法是:
其中:M是地球的质量,R是地球的半径,得:v=
.分别将星球质量,半径代入计算.
解答:解:设地球质量是M,半径为R,则:行星的质量为6M,半径为1.5R
地球的第一宇宙速度:由:
,得:v1=
.
行星的第一宇宙速度:v2=
所以速度之比:
因为:地球的第一宇宙速度为8km/s,所以:行星的第一宇宙速度为16km/s
故答案为:16km/s
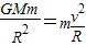
点评:明确第一宇宙速度计算方法是:
其中:M是星球的质量,R是星球的半径,得:v=
,将质量,半径关系代入即可.
解答:解:设地球质量是M,半径为R,则:行星的质量为6M,半径为1.5R
地球的第一宇宙速度:由:
行星的第一宇宙速度:v2=
所以速度之比:
因为:地球的第一宇宙速度为8km/s,所以:行星的第一宇宙速度为16km/s
故答案为:16km/s
点评:明确第一宇宙速度计算方法是:
练习册系列答案
相关题目