题目内容

(15分)中央电视台近期推出了一个游戏节目——推矿泉水瓶.选手们从起点开始用力推瓶一段时间后,放手让瓶向前滑动,若瓶最后停在桌上有效区域内,视为成功;若瓶最后不停在有效区域内或在滑行过程中倒下均视为失败.其简化模型如图所示,AC是长度为L1=5 m的水平桌面,选手们可将瓶子放在A点,从A点开始用一恒定不变的水平推力推瓶,BC为有效区域.已知BC长度为L2=1 m,瓶子质量为m=0.5 kg,瓶子与桌面间的动摩擦因数μ=0.4.某选手作用在瓶子上的水平推力F=20 N,瓶子沿AC做直线运动,(g取10 m/s2)假设瓶子可视为质点,那么该选手要想游戏获得成功,试问:

 

(1)推力作用在瓶子上的时间最长不得超过多少?

(2)推力作用在瓶子上的距离最小为多少?

 

【答案】

    0.4m

【解析】

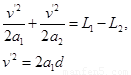
试题分析:要想游戏成功,瓶子滑到C点速度正好为0时,力作用时间最长,当瓶子滑到B点速度正好为0时,力作用的距离最小。设最作用时间为t1,有力作用是瓶子的加速度为a1,t1时刻瓶子的速度为v,力停止所用以后加速为a2,由牛顿第二定律得:

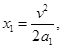
加速运动过程中的位移

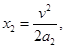
减速运动过程中的位移

联立以上各式可得

设力作用的最小距离为d,则:

联立两式可得:d=0.4m

考点:匀变速直线运动是运用

 

练习册系列答案
相关题目

违法和不良信息举报电话:027-86699610 举报邮箱:58377363@163.com

精英家教网