题目内容
从一个足够长的光滑斜面的顶端先后由静止释放两个物体甲和乙,在匀加速下滑过程中( )A.甲乙间距离保持不变,甲乙速度之差保持不变
B.甲乙间距离越来越大,甲乙速度之差越来越大
C.甲乙间距离越来越大,甲乙速度之差保持不变
D.甲乙间距离越来越小,甲乙速度之差越来越小
【答案】分析:甲乙两个物体都做匀加速直线运动,且加速度相同,根据匀加速直线运动位移时间关系及速度时间关系即可求解.
解答:解:设斜面与水平面的夹角为θ,根据对甲乙两个物体进行受力分析,根据牛顿第二定律得:
a=
甲乙加速度相等.
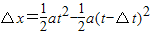
设甲释放△t时间后,乙开始释放,则
=2at△t-
,可见随着时间的变化,位移差越来越大.
△v=at-a(t-△t)=a△t,可见速度差不随时间变化而变化.
故选C
点评:本题主要考查了匀加速直线运动位移时间关系及速度时间关系的直接应用,要知道甲乙加速度相同.
解答:解:设斜面与水平面的夹角为θ,根据对甲乙两个物体进行受力分析,根据牛顿第二定律得:
a=
甲乙加速度相等.
设甲释放△t时间后,乙开始释放,则
△v=at-a(t-△t)=a△t,可见速度差不随时间变化而变化.
故选C
点评:本题主要考查了匀加速直线运动位移时间关系及速度时间关系的直接应用,要知道甲乙加速度相同.
练习册系列答案
相关题目