题目内容

河宽为s,河水流速为,船在静水中划行速度为

(1)船要在最短时间内划到对岸,船头应指向何方?渡河时间为多少?

(2)船要沿最短路径划到对岸,船头应指向何方?渡河时间为多少?

答案:略
解析:

(1)船头应垂直于河岸指向对岸,渡河时间为

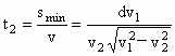
(2),船头指向为,与上游河岸成α角,且,时间为时,船头指向为,与上游河岸成α角,且,时间为

船在河水中的运动从运动效果上看,当船向对岸划行时会被水流冲向下游,因此船的运动看成沿划行分速度方向的分运动与沿水流分速度方向的分运动的合运动,合运动与分运动具有等时性,划行时间最短,船向对岸航行的合运动时间也最短.

解:(1)划行分速度大小是一定的,当此分运动位移最小时,即分位移垂直河岸大小为d时,分运动时间最短

即船头应垂直于河岸指向对岸划行,最短时间

结论在时均成立,的相对大小无关.

(2)欲使船经最短路径划到对岸,由于不知水流速度和小船速度的大小关系,因此需分两种情况讨论.

①若

如图所示,设偏向上游且与河岸成α角,这时,合不度恰与河岸垂直,最短航程即为河流d,船头应偏向上游,

渡河时间

②若,由于小船无论向什么方向划行也不能垂直过河,小船的最短航程不是河宽,小船向什么方向划行过河位移最短?由图可以看出,小船过河的速度(水流速度与小船草行速度的合速度)矢量的末端,问题在以水流速度矢量末端为圆心,以小船划行速度矢量为半径的圆上,显然,当小船过河速度与圆相切时,小船过河速度与下游岸角θ最大,有

即小船航行方向与上河岸成方向航行时,小船过河位移最短.

最短位移 

过河时间 

合速v由平行四边形定则得:

凡处理矢量的合成、分解问题时,都要先画出矢量三角形图示(平行四边形的简化),将问题直观形象地展示出来,便于分析研究.


练习册系列答案
相关题目

违法和不良信息举报电话:027-86699610 举报邮箱:58377363@163.com

精英家教网