题目内容
一台发电机最大输出功率为4000kW,电压为4000V,经变压器T1升压后向远方输电.输电线路总电阻R=1kΩ.到目的地经变压器T2降压,负载为多个正常发光的灯泡(220V、60W).若在输电线路上消耗的功率为发电机输出功率的10%,变压器T1和T2的耗损可忽略,发电机处于满负荷工作状态,则( )A.T1原、副线圈电流分别为103A和20A
B.T2原、副线圈电压分别为1.8×105V和220V
C.T1和T2的变压比分别为1:50和40:1
D.有6×104盏灯泡(220V、60W)正常发光
【答案】分析:根据电压与匝数成正比,电流与匝数成反比,可以求得降压变压器的电流和输电线上的电流的大小,从而可以求得输电线和用电器消耗的功率的大小.由于降压变压器的负载能正常工作,则可算出降压变压器的原线圈的匝数之比,同时能确定接入多少个灯泡才正常发光.
解答:解:由P=UI可得,
升压变压器输入电流
由
得,
升压变压器的输出电流
故A正确.
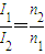
由
得,
①
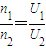
根据
得,
升压变压器的输出电压
输电线上的电压损失
降压变压器的输入电压
V ③
用户得到的电压即为降压变压器的输出电压U4=220V ④
由③④可知B正确.
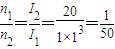
降压变压器的匝数比
②由①②知C错误
用户得到的功率P3=P2-10%P2=0.9×4000KW=3600KW
可供灯泡正常发光的盏数
故D正确.
故选ABD.
点评:本题考查远距离输电中的能量损失及功率公式的应用,要注意功率公式中P=UI中的电压U应为输电电压,不是发电机的输出电压.本题突破点是由输电线上的损失功率,从而算出电线上的电流.
解答:解:由P=UI可得,
升压变压器输入电流
由
升压变压器的输出电流
故A正确.
由
根据
升压变压器的输出电压
输电线上的电压损失
降压变压器的输入电压
用户得到的电压即为降压变压器的输出电压U4=220V ④
由③④可知B正确.
降压变压器的匝数比
用户得到的功率P3=P2-10%P2=0.9×4000KW=3600KW
可供灯泡正常发光的盏数
故选ABD.
点评:本题考查远距离输电中的能量损失及功率公式的应用,要注意功率公式中P=UI中的电压U应为输电电压,不是发电机的输出电压.本题突破点是由输电线上的损失功率,从而算出电线上的电流.
练习册系列答案
相关题目