题目内容
如图,传送带与地面倾角为37°,AB长16m,传送带以10m/s的速率逆时针转动,在带上A端无初速的放一质量为0.5kg物体,它与带间的动摩擦因数为0.5,求:(1)物体从A运动到B分别做何运动;
(2)物体从A运动到B所需时间?
【答案】分析:物体放在传送带上后,开始阶段,传送带的速度大于物体的速度,传送带给物体一沿斜面向下的滑动摩擦力,物体由静止开始加速下滑,当物体加速至与传送带速度相等时,由于μ<tanθ,物体在重力作用下将继续加速,此后物体的速度大于传送带的速度,传送带给物体沿传送带向上的滑动摩擦力,但合力沿传送带向下,物体继续加速下滑.
解答:解:(1)开始运动时物体向下做匀加速直线运动:
=
=0.5×10×0.8+10×0.6=10m/s2
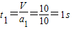
加速时间:
运动位移:
第二阶段由于Gx>μN,故物体继续向下做匀加速直线运动;
(2)根据牛顿第二定律,有:
=10×0.6-0.5×10×0.8=2m/s2
第二阶段的位移:s2=L-s1=16-5=11m

带入数据有:
解得:t2=1s
t总=t1+t2=1+1=2s
答:(1)物体从A运动到B先做加速度为10m/s2的匀加速直线运动,后做加速度为2m/s2的匀加速直线运动;
(2)物体从A运动到B所需时间为2s.
点评:从上述例题可以总结出,皮带传送物体所受摩擦力可能发生突变,不论是其大小的突变,还是其方向的突变,都发生在物体的速度与传送带速度相等的时刻.
解答:解:(1)开始运动时物体向下做匀加速直线运动:
加速时间:
运动位移:
第二阶段由于Gx>μN,故物体继续向下做匀加速直线运动;
(2)根据牛顿第二定律,有:
第二阶段的位移:s2=L-s1=16-5=11m
带入数据有:
解得:t2=1s
t总=t1+t2=1+1=2s
答:(1)物体从A运动到B先做加速度为10m/s2的匀加速直线运动,后做加速度为2m/s2的匀加速直线运动;
(2)物体从A运动到B所需时间为2s.
点评:从上述例题可以总结出,皮带传送物体所受摩擦力可能发生突变,不论是其大小的突变,还是其方向的突变,都发生在物体的速度与传送带速度相等的时刻.
练习册系列答案
相关题目