ÌâÄ¿ÄÚÈÝ
£¨1£©ÎªÁËʹÕýÀë×Óÿ¾¹ýÕ·ì¶¼±»¼ÓËÙ£¬Çó½»±äµçѹµÄƵÂÊ£»
£¨2£©ÇóÀë×ÓÄÜ»ñµÃµÄ×î´ó¶¯ÄÜ£»
£¨3£©ÇóÀë×ÓµÚ1´ÎÓëµÚn´ÎÔÚϰëºÐÖÐÔ˶¯µÄ¹ìµÀ°ë¾¶Ö®±È£®
¡¾´ð°¸¡¿·ÖÎö£ºÓÉÖÜÆÚ¹«Ê½ÇóƵÂÊ£»×î´ó¶¯ÄÜÓÉDÐͺеİ뾶¾ö¶¨£»Óɰ뾶¹«Ê½ºÍ¶¯Äܶ¨ÀíÇó°ë¾¶£®
½â´ð£º½â£º£¨1£©Ê¹ÕýÀë×Óÿ¾¹ýÕ·ì¶¼±»¼ÓËÙ£¬½»±äµçѹµÄƵÂÊÓ¦µÈÓÚÀë×Ó×öÔ²ÖÜÔ˶¯µÄƵÂÊ£¬ÕýÀë×ÓÔڴų¡ÖÐ×öÔÈËÙÔ²ÖÜÔ˶¯£¬
ÓÉÂåÂ××ÈÁ¦ÌṩÏòÐÄÁ¦Bqv=m
ÓÖT=
½âµÃT=
ËùÒÔf=
£¨2£©µ±Àë×Ó´ÓDºÐ±ßÔµÀ뿪ʱËÙ¶È×î´ó£¬´ËʱÀë×Ó×öÔ²ÖÜÔ˶¯µÄ°ë¾¶ÎªDºÐµÄ°ë¾¶ÓÐvm=
Àë×Ó»ñµÃµÄ×î´ó¶¯ÄÜΪE=
=
£¨3£©Àë×Ó´ÓSµã¾µç³¡¼ÓËÙ1´Îºó£¬ÒÔËÙ¶Èv1µÚ1´Î½øÈëϰëºÐ£¬Óɶ¯Äܶ¨ÀíUq=
µÃ 
ÓÖ
Àë×Ó´ÓSµã¾µç³¡¼ÓËÙ3´Îºó£¬ÒÔËÙ¶Èv3µÚ2´Î½øÈëϰëºÐ3Uq=
½âµÃv3=
£¬
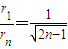
¡Àë×Ó¾µç³¡¼ÓËÙ£¨2n-1£©´Îºó£¬µÚn´Î½øÈë´Å³¡ ͬÀí¿ÉµÃrn=
ËùÒÔ
´ð£º£¨1£©ÎªÁËʹÕýÀë×Óÿ¾¹ýÕ·ì¶¼±»¼ÓËÙ£¬½»±äµçѹµÄƵÂÊΪ
£»
£¨2£©Àë×ÓÄÜ»ñµÃµÄ×î´ó¶¯ÄÜΪ
£»
£¨3£©Àë×ÓµÚ1´ÎÓëµÚn´ÎÔÚϰëºÐÖÐÔ˶¯µÄ¹ìµÀ°ë¾¶Ö®±ÈΪ
£®
µãÆÀ£º±¾Ì⿼²éÁË»ØÐý¼ÓËÙÆ÷ÖÐÁ£×ÓµÄÖÜÆÚ¡¢ÆµÂÊ¡¢×î´ó¶¯ÄܺͰ뾶¹«Ê½£¬ÄѶȲ»´ó£¬µ«ÒªÈÏÕæ·ÖÎö£®
½â´ð£º½â£º£¨1£©Ê¹ÕýÀë×Óÿ¾¹ýÕ·ì¶¼±»¼ÓËÙ£¬½»±äµçѹµÄƵÂÊÓ¦µÈÓÚÀë×Ó×öÔ²ÖÜÔ˶¯µÄƵÂÊ£¬ÕýÀë×ÓÔڴų¡ÖÐ×öÔÈËÙÔ²ÖÜÔ˶¯£¬
ÓÉÂåÂ××ÈÁ¦ÌṩÏòÐÄÁ¦Bqv=m
£¨2£©µ±Àë×Ó´ÓDºÐ±ßÔµÀ뿪ʱËÙ¶È×î´ó£¬´ËʱÀë×Ó×öÔ²ÖÜÔ˶¯µÄ°ë¾¶ÎªDºÐµÄ°ë¾¶ÓÐvm=
Àë×Ó»ñµÃµÄ×î´ó¶¯ÄÜΪE=
£¨3£©Àë×Ó´ÓSµã¾µç³¡¼ÓËÙ1´Îºó£¬ÒÔËÙ¶Èv1µÚ1´Î½øÈëϰëºÐ£¬Óɶ¯Äܶ¨ÀíUq=
ÓÖ
Àë×Ó´ÓSµã¾µç³¡¼ÓËÙ3´Îºó£¬ÒÔËÙ¶Èv3µÚ2´Î½øÈëϰëºÐ3Uq=
½âµÃv3=
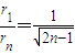
¡Àë×Ó¾µç³¡¼ÓËÙ£¨2n-1£©´Îºó£¬µÚn´Î½øÈë´Å³¡ ͬÀí¿ÉµÃrn=
ËùÒÔ
´ð£º£¨1£©ÎªÁËʹÕýÀë×Óÿ¾¹ýÕ·ì¶¼±»¼ÓËÙ£¬½»±äµçѹµÄƵÂÊΪ
£¨2£©Àë×ÓÄÜ»ñµÃµÄ×î´ó¶¯ÄÜΪ
£¨3£©Àë×ÓµÚ1´ÎÓëµÚn´ÎÔÚϰëºÐÖÐÔ˶¯µÄ¹ìµÀ°ë¾¶Ö®±ÈΪ
µãÆÀ£º±¾Ì⿼²éÁË»ØÐý¼ÓËÙÆ÷ÖÐÁ£×ÓµÄÖÜÆÚ¡¢ÆµÂÊ¡¢×î´ó¶¯ÄܺͰ뾶¹«Ê½£¬ÄѶȲ»´ó£¬µ«ÒªÈÏÕæ·ÖÎö£®
Á·Ï°²áϵÁдð°¸
Ïà¹ØÌâÄ¿