ÌâÄ¿ÄÚÈÝ

ÔÚ¡°ÑéÖ¤»úеÄÜÊØºãÂÉ¡±µÄʵÑéÖУ¬ÒÑÖª´òµã¼ÆÊ±Æ÷ËùÓõçÔ´µÄƵÂÊΪ50Hz£¬²éµÃµ±µØµÄÖØÁ¦¼ÓËÙ¶È£¬Ä³Í¬Ñ§Ñ¡ÔñÁËÒ»ÌõÀíÏëµÄÖ½´ø£¬Óÿ̶ȳ߲âÁ¿³ö¸÷¼ÆÊýµã¶ÔÓ¦¿Ì¶È³ßÉϵĶÁÊýÈçͼËùʾ£¬Í¼ÖÐOµãÊÇ´òµã¼ÆÊ±Æ÷´ò³öµÄµÚÒ»¸öµã£¬A¡¢B¡¢C¡¢D·Ö±ðÊÇÿ´òÁ½¸öµãÈ¡³öµÄ¼ÆÊýµã£¬¸ù¾ÝÒÔÉÏÊý¾Ý£¬¿ÉÖªÖØÎïÓÉOµãÔ˶¯µ½Bµãʱ£¬

(1)ÖØÁ¦ÊÆÄܵļõÉÙÁ¿Îª¶àÉÙ?

(2)¶¯ÄܵÄÔö¼ÓÁ¿ÊǶàÉÙ?

(3)¸ù¾Ý¼ÆËãµÄÊý¾Ý¿ÉµÃ³öʲô½áÂÛ?²úÉúÎó²îµÄÖ÷ÒªÔ­ÒòÊÇʲô?

´ð°¸£ºÂÔ
½âÎö£º

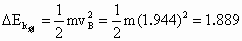
(1)1.911mJ£»(2)1.889mJ£»(3)ÔÚÔÊÐíÎó²î·¶Î§ÄÚ»úеÄÜÊØºã£¬ÖØ´¸Êܵ½×èÁ¦£®

(1)ÖØÁ¦ÊÆÄܵļõÉÙÁ¿Îª£º

(2)ÖØ´¸ÏÂÂäµ½BµãʱµÄËÙ¶È£º

ÖØ´¸´Ó¿ªÊ¼µ½ÏÂÂäµ½BµãÔö¼ÓµÄ¶¯ÄÜΪ£º

(J)

(3)´Ó(1)(2)ÖмÆËãµÄÊý¾ÝµÃ³öÔÚʵÑéÎó²îÔÊÐíµÄ·¶Î§ÄÚÖØ¼õÉÙµÄÖØÁ¦ÊÆÄܵÈÓÚÆä¶¯ÄܵÄÔö¼Ó£¬»úеÄÜÊØºã£®

ÖØ´¸¼õÉÙµÄÖØÁ¦ÊÆÄÜÂÔ´óÓÚÆäÔö¼ÓµÄ¶¯ÄÜ£®

Ô­Òò£ºÖØ´¸ÔÚÕýÂäʱҪÊܵ½×èÁ¦£®


Á·Ï°²áϵÁдð°¸
Ïà¹ØÌâÄ¿
£¨2008?ºþÄÏÄ£Ä⣩£¨1£©ÓÃÈçͼ1ËùʾµÄʵÑé×°ÖÃÑéÖ¤»úеÄÜÊØºã¶¨ÂÉ£¬ÊµÑéËùÓõĵçԴΪѧÉúµçÔ´£¬Êä³öµçѹΪ6VµÄ½»Á÷µçºÍÖ±Á÷µçÁ½ÖÖ£®ÖØ´¸´Ó¸ß´¦Óɾ²Ö¹¿ªÊ¼ÂäÏ£¬ÖØ´¸ÉÏÍÏ×ŵÄ
Ö½´øÍ¨¹ý´òµã¼ÆÊ±Æ÷´ò³öһϵÁеĵ㣬¶ÔÖ½´øÉϵĵãµÄºÛ¼£½øÐвâÁ¿£¬¼´¿ÉÑéÖ¤»úеÄÜÊØºã¶¨´ýÂÉ£®

¢ÙÏÂÃæÁоٳöÁ˸ÃʵÑéµÄ¼¸¸ö²Ù×÷²½Ö裺
A£®°´ÕÕͼʾµÄ×°Öð²×°Æ÷¼þ£»
B£®½«´òµã¼ÆÊ±Æ÷½Óµ½µçÔ´µÄÖ±Á÷Êä³ö¶ËÉÏ£»
C£®ÓÃÌìÆ½²âÁ¿³öÖØ´¸µÄÖÊÁ¿£»
D£®ÊÍ·ÅÐü¹ÒÖ½´øµÄ¼Ð×Ó£¬Í¬Ê±½ÓͨµçÔ´¿ª¹Ø´ò³öÒ»ÌõÖ½´ø£»
E£®²âÁ¿´ò³öµÄÖ½´øÉÏijЩµãÖ®¼äµÄ¾àÀ룻
F£®¸ù¾Ý²âÁ¿µÄ½á¹û¼ÆËãÖØ´¸ÏÂÂä¹ý³ÌÖмõÉÙµÄÖØÁ¦ÊÆÄÜÊÇ·ñµÈÓÚÔö¼ÓµÄ¶¯ÄÜ£®
Ö¸³öÆäÖÐûÓбØÒª½øÐеĻòÕß²Ù×÷²»Ç¡µ±µÄ²½Ö裮
BCD
BCD
£®
¢ÚÀûÓÃÕâ¸ö×°ÖÃÒ²¿ÉÒÔ²âÁ¿ÖØ´¸ÏÂÂäµÄ¼ÓËÙ¶ÈaµÄÊýÖµ£®Èçͼ2Ëùʾ£¬¸ù¾Ý´ò³öµÄÖ½´ø£¬Ñ¡È¡´øÉÏ´ò³öµÄ±ßÐøÎå¸öµãA¡¢B¡¢C¡¢D¡¢E£¬²â³öAµã¾àÀëÆðʼµãOµÄ¾àÀëΪs0£¬A¡¢CÁ½µã¼äµÄ¾àÀëΪs1£¬C¡¢EÁ½µã¼äµÄ¾àÀëΪs2£¬Ê¹Óý»Á÷µçµÄƵÂÊΪf£¬Ôò¸ù¾ÝÕâЩÌõ¼þ¼ÆËãÖØ´¸ÏÂÂäµÄ¼ÓËÙ¶Èa±í´ïʽΪ£ºa=
s2-s1
4
f2
s2-s1
4
f2
£®
£¨2£©´ý²âµç×èRxµÄ×èֵԼΪ80¦¸¡«100¦¸£¬ÏÖҪ׼ȷ²â¶¨Æäµç×èÖµ£¬¸ø³öµÄÆ÷²ÄÓУº
A£®µçÔ´E£¨µç¶¯ÊÆ18V£¬ÄÚµç×èδ֪£©
B£®¶¨Öµµç×èR1=1000¦¸
C£®¶¨Öµµç×èR2=100¦¸
D£®»¬¶¯±ä×èÆ÷R3£¬×ÜÖµ20¦¸
E£®»¬¶¯±ä×èÆ÷R4£¬×Ü×èÖµ200¦¸
F£®µçÁ÷±íA£¬Á¿³Ì0¡«0.1A£¬ÄÚµç×èδ֪
G£®µ¥µ¶Ë«ÖÀµç¼üÒ»¸ö£¬µ¼ÏßÈô¸É¸ù
¢ÙÊÔÉè¼ÆÒ»¸öÄÜ׼ȷ²âÁ¿Rx×èÖµµÄµç·£¬ËùÑ¡ÔñµÄÆ÷²ÄΪ£º
ACEFG
ACEFG
£®
¢ÚÔÚͼ3·½¿òÖл­³öʵÑéµç·ͼ£®
¢Ûд³öÓòâÁ¿µÄÎïÀíÁ¿±íʾRxµÄ±í´ïʽ£º
Rx=R2-
E(I1-I2)
I1I2
Rx=R2-
E(I1-I2)
I1I2
£®

Î¥·¨ºÍ²»Á¼ÐÅÏ¢¾Ù±¨µç»°£º027-86699610 ¾Ù±¨ÓÊÏ䣺58377363@163.com

¾«Ó¢¼Ò½ÌÍø