题目内容
真空中两个点电荷的相互作用力为F,若每个电荷的带电量都增大一倍,并把它们之间的距离减少一半,则它们之间的作用力变为( )A.16F
B.8F
C.4F
D.2F
【答案】分析:本题比较简单,直接根据库仑力公式得出两次作用力的表达式,则可求得距离减小后的相互作用力,从而解出正确结果.
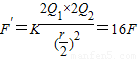
解答:解:由库伦定律可得:
变化前:
变化后:
,故BCD错误,A正确.
故选A.
点评:本题考查库仑定律的直接应用,对于库伦定律公式要注意公式的适用条件以及公式中各个物理量的含义.
解答:解:由库伦定律可得:
变化前:
变化后:
故选A.
点评:本题考查库仑定律的直接应用,对于库伦定律公式要注意公式的适用条件以及公式中各个物理量的含义.
练习册系列答案
相关题目
真空中有两个点电荷,他们的电荷量分别为-2Q和+4Q,若它们相r时的静电力为F,则把它们接触后分开再放到相距2r处,它们间的静电力为( )
| A.F/4 | B.F/8 | C.F/16 | D.F/32 |