题目内容
如图,一质量为m的质点在半径为R的半球形容器中(容器固定),由静止开始自边缘上的一点滑下,到达最低点B时,它对容器的正压力为N.重力加速度为g,则质点自A滑到B的过程中,摩擦力对其所做的功为( )A.
B.
C.
D.
【答案】分析:小球在B点竖直方向上受重力和支持力,根据合力提供向心力求出B点的速度,再根据动能定理求出摩擦力所做的功.
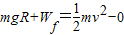
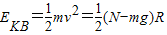
解答:解:在B点有:
.得
.
A滑到B的过程中运用动能定理得,
,得
.故A正确,B、C、D错误.
故选A.
点评:解决本题的关键掌握动能定理解题,以及知道质点在B点径向的合力提供圆周运动的向心力.
解答:解:在B点有:
A滑到B的过程中运用动能定理得,
故选A.
点评:解决本题的关键掌握动能定理解题,以及知道质点在B点径向的合力提供圆周运动的向心力.
练习册系列答案
相关题目