题目内容
地球同步卫星到地心的距离r可由A.a是地球半径,b是地球自转的周期,c是地球表面处的重力加速度
B.a是地球半径,b是同步卫星绕地心运动的周期,c是同步卫星的加速度
C.a是赤道周长,b是地球自转周期,c是同步卫星的角速度
D.a是地球半径,b是同步卫星绕地心运动的周期,c是地球表面处的重力加速度
【答案】分析:地球同步卫星公转周期等于地球自转的周期,万有引力等于向心力,轨道平面与赤道平面共面.
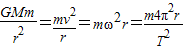
解答:解:物体在万有引力作用下做匀速圆周运动,其所需的向心力由万有引力提供,
即:
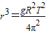
因为地球同步卫星到地心的距离r中包含4π2,
所以此题用的公式应是
整理得到:
①
此表达式和题目所给的表达式还有不同之处,那么我们可以用黄金代换:GM=gR2(R是地球半径)
代入①得到:
结合题目所给单位,a的单位是米,则a对应地球半径R,b的单位是秒,则b对应同步卫星的周期T,也是地球自转周期T,c的单位米每二次方秒,则c对应重力加速度g
故:A、D正确,B、C错误
故选:AD
点评:同步卫星的五个“一定”
(1)轨道平面一定(2)周期一定(3)角速度一定(4)高度一定(5)速度一定.通过以上五个方面加深对同步卫星的理解.
解答:解:物体在万有引力作用下做匀速圆周运动,其所需的向心力由万有引力提供,
即:
因为地球同步卫星到地心的距离r中包含4π2,
所以此题用的公式应是
整理得到:
此表达式和题目所给的表达式还有不同之处,那么我们可以用黄金代换:GM=gR2(R是地球半径)
代入①得到:
结合题目所给单位,a的单位是米,则a对应地球半径R,b的单位是秒,则b对应同步卫星的周期T,也是地球自转周期T,c的单位米每二次方秒,则c对应重力加速度g
故:A、D正确,B、C错误
故选:AD
点评:同步卫星的五个“一定”
(1)轨道平面一定(2)周期一定(3)角速度一定(4)高度一定(5)速度一定.通过以上五个方面加深对同步卫星的理解.
练习册系列答案
相关题目
地球同步卫星到地心的距离r可由r3=
求出,已知式中a的单位是m,b的单位是s,c的单位是m/s2,则( )
| a2b2c |
| 4π2 |
| A、a是地球半径,b是地球自转的周期,c是地球表面处的重力加速度 |
| B、a是地球半径,b是同步卫星绕地心运动的周期,c是同步卫星的加速度 |
| C、a是赤道周长,b是地球自转周期,c是同步卫星的车速度 |
| D、a是地球半径,b是同步卫星绕地心运动的周期,c是地球表面处的重力加速度 |