ÌâÄ¿ÄÚÈÝ
ÔÚ¡°Ñо¿ÔȱäËÙÖ±ÏßÔ˶¯¡±µÄʵÑéÖУ¬´òµã¼ÆÊ±Æ÷ʹÓÃ50Hz½»Á÷µçÔ´£¬¼Ç¼С³µ×öÔȱäËÙÔ˶¯µÄÖ½´øÈçͼËùʾ£¬ÔÚÿÏàÁÚµÄÁ½¼ÆÊýµãÖм䶼ÓÐËĸöµãδ»³ö£¬ÔÚÖ½´øÉϰ´Ê±¼ä˳ÐòÈ¡0¡«6µÄ7¸öµã£¬Óÿ̶ȳßÁ¿³öl¡¢2¡¢3¡¢4¡¢5¡¢6µãµ½0µãµÄ¾àÀë·Ö±ðÊÇ£¨µ¥Î»£ºcm£©8.78¡¢16.08¡¢21.87¡¢26.16¡¢28.94¡¢30.22£®Ôò¿ÉµÃ³öС³µ¼ÓËÙ¶È´óСΪ______ m/s2£®´ò¼ÆÊýµã3ʱֽ´øµÄ˲ʱËÙ¶ÈΪ______ m/s£®£¨¾ù±£ÁôÈýλÓÐЧÊý×Ö£©
¡¾´ð°¸¡¿·ÖÎö£ºÓÉÌâÇó³öÏàÁÚ¼ÆÊýµã¼äµÄʱ¼ä¼ä¸ô£¬ÔÙÓɸù¾ÝÔȼÓËÙÔ˶¯µÄÍÆÂÛ¹«Ê½£º¡÷x=aT2£¬vn=
·Ö±ðÇó³ö¼ÓËٶȺÍËÙ¶È£®
½â´ð£º½â£ºÓÉÌâÇó³öÏàÁÚ¼ÆÊýµã¼äµÄʱ¼ä¼ä¸ôT=0.1s
ÉèÏàÁÚÁ½µã¼ä¾àÀë·Ö±ðΪx1¡¢x2¡¢x3¡¢x4¡¢x5¡¢x6
Ôòx1=8.78cm£¬x2=£¨16.08-8.78£©cm=7.30cm£¬x3=£¨21.87-16.08£©cm=5.79cm
x4=£¨26.16-21.87£©cm=4.29cm£¬x5=£¨28.94-21.26.16£©cm=2.78cm£¬x6=£¨30.22-29.94£©cm=1.18cm
ÓÉx4-x1=3a1T2£¬x5-x2=3a2T2£¬x6-x3=3a2T2£¬µÃ
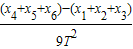
a=
=
´úÈë½âµÃ a=-1.50m/s2
´ò¼ÆÊýµã3ʱֽ´øµÄ˲ʱËÙ¶Èv3=
=0.504m/s
¹Ê´ð°¸Îª 1.50m/s2£¬0.504m/s£®
µãÆÀ£º±¾ÌâÇó½â¼ÓËٶȵķ½·¨½Ð×öÖð²î·¨£®ÔËÓÃÔȱäÖ±ÏßÔ˶¯µÄÍÆÂÛ½âÌâÍùÍù¹ý³Ì¼òµ¥·½±ã£¬ÒªÑ§»áÁé»îÑ¡Ôñ¹«Ê½Ó¦Óã®
½â´ð£º½â£ºÓÉÌâÇó³öÏàÁÚ¼ÆÊýµã¼äµÄʱ¼ä¼ä¸ôT=0.1s
ÉèÏàÁÚÁ½µã¼ä¾àÀë·Ö±ðΪx1¡¢x2¡¢x3¡¢x4¡¢x5¡¢x6
Ôòx1=8.78cm£¬x2=£¨16.08-8.78£©cm=7.30cm£¬x3=£¨21.87-16.08£©cm=5.79cm
x4=£¨26.16-21.87£©cm=4.29cm£¬x5=£¨28.94-21.26.16£©cm=2.78cm£¬x6=£¨30.22-29.94£©cm=1.18cm
ÓÉx4-x1=3a1T2£¬x5-x2=3a2T2£¬x6-x3=3a2T2£¬µÃ
a=
´úÈë½âµÃ a=-1.50m/s2
´ò¼ÆÊýµã3ʱֽ´øµÄ˲ʱËÙ¶Èv3=
¹Ê´ð°¸Îª 1.50m/s2£¬0.504m/s£®
µãÆÀ£º±¾ÌâÇó½â¼ÓËٶȵķ½·¨½Ð×öÖð²î·¨£®ÔËÓÃÔȱäÖ±ÏßÔ˶¯µÄÍÆÂÛ½âÌâÍùÍù¹ý³Ì¼òµ¥·½±ã£¬ÒªÑ§»áÁé»îÑ¡Ôñ¹«Ê½Ó¦Óã®
Á·Ï°²áϵÁдð°¸
Ïà¹ØÌâÄ¿