题目内容

一水平放置的平行板电容器的两极扳间距为d,极扳分别与电池两极相连.上极板中心有一小孔(小孔对电场的影响可忽略不计)。小孔正上方d/2处的P点有一带电粒子,该粒子从静止开始下落.经过小孔进入电容器,并在下极板处未与极扳接触、返回。若将下极板向上平移d/3,则从P点开始下落的相同粒子将(       )

A.打到下极扳上

B.在下极板处返回

C.在距上极板d/2处返回

D.在距上极扳2d/5处返回

 

【答案】

D

【解析】

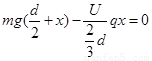
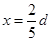
试题分析:设电池两极间的电势差为U,由动能定理,设第二种情况粒子下降到距上板x处,由动能定理:,联立两式得:

考点:本题考查动能定理。

 

练习册系列答案
相关题目

违法和不良信息举报电话:027-86699610 举报邮箱:58377363@163.com

精英家教网