题目内容
1930年劳伦斯制成了世界上第一台回旋加速器,其原理如图所示,这台加速器由两个铜质D形合D1、D2构成,其间留有空隙,下列说法不正确的是( )A.离子由加速器的中心附近进入加速器
B.离子获得的最大动能与加速电压无关
C.离子从磁场中获得能量
D.离子从电场中获得能量
【答案】分析:被加速离子由加速器的中心附近进入加速器,而从边缘离开加速器;洛伦兹力并不做功,而电场力对带电离子做功.
解答:解:A、被加速离子只能由加速器的中心附近进入加速器,而从边缘离开加速器,故A正确.
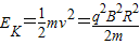
B、当离子离开回旋加速器时,动能最大,根据qvB=m
,解得
,与加速电压无关.故B正确.
CD、由于洛伦兹力并不做功,而离子通过电场时有qU=
,故离子是从电场中获得能量,故C错误,而D正确
本题选错误的,故选C.
点评:解决本题的关键知道回旋加速器的工作原理,运用电场加速,磁场偏转,但是最大动能与加速的电压无关.
解答:解:A、被加速离子只能由加速器的中心附近进入加速器,而从边缘离开加速器,故A正确.
B、当离子离开回旋加速器时,动能最大,根据qvB=m
CD、由于洛伦兹力并不做功,而离子通过电场时有qU=
本题选错误的,故选C.
点评:解决本题的关键知道回旋加速器的工作原理,运用电场加速,磁场偏转,但是最大动能与加速的电压无关.
练习册系列答案
相关题目
| A、带电粒子在回旋加速器中从磁场中获得能量 | B、带电粒子在回旋加速器中从电场中获得能量 | C、高频交变电源的电压越大,带电粒子从出口被引出时获得的动能越大 | D、匀强磁场的磁感应强度越大,带电粒子从出口被引出时获得的动能越大 |
| A、离子从D形盒之间空隙的电场中获得能量 | B、回旋加速器只能用来加速正离子 | C、离子在磁场中做圆周运动的周期是加速交变电压周期的一半 | D、离子在磁场中做圆周运动的周期与加速交变电压周期相等 |