题目内容
两颗卫星在同一轨道平面绕地球作匀速圆周运动,地球半径为R,a卫星离地面的高度为R,b卫星离地面的高度为3R,则(1)a、b两卫星运行的线速度大小之比Va:Vb是多少?
(2)a、b两卫星的周期之比Ta:Tb是多少?
(3)a、b两卫星所在轨道处的重力加速度大小之比ga:gb是多少?
【答案】分析:两颗卫星在同一轨道平面绕地球作匀速圆周运动,轨道半径不同,我们可利用万有引力提供它们做圆周运动的向心力来列式分析.
解答:解:设地球的质量为M,a、b卫星质量分别为ma、mb,线速度分别为va、vb,周期分别为Ta、Tb,a、b卫星所在轨道处的重力加速度分别为ga、gb
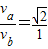
(1)由万有引力提供向心力:
对a卫星:
①
对b卫星:
②
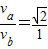
解①②两式得:
③
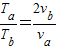
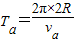
(2)由圆周运动的规律:
可得:
④
⑤
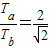
解④⑤两式得:
代入③得:

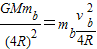
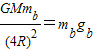
(3)由万有引力约等于重力有:
对a卫星:
⑥
对b卫星:
⑦
解⑥⑦两式得:
答:(1)a、b两卫星运行的线速度大小之比
(2)a、b两卫星的周期之比
(3)a、b两卫星所在轨道处的重力加速度大小之比
点评:本题关键抓住万有引力提供向心力,列式表示出线速度、角速度、周期等物理量,再进行比较即可.
解答:解:设地球的质量为M,a、b卫星质量分别为ma、mb,线速度分别为va、vb,周期分别为Ta、Tb,a、b卫星所在轨道处的重力加速度分别为ga、gb
(1)由万有引力提供向心力:
对a卫星:
对b卫星:
解①②两式得:
(2)由圆周运动的规律:
解④⑤两式得:
代入③得:
(3)由万有引力约等于重力有:
对a卫星:
对b卫星:
解⑥⑦两式得:
答:(1)a、b两卫星运行的线速度大小之比
(2)a、b两卫星的周期之比
(3)a、b两卫星所在轨道处的重力加速度大小之比
点评:本题关键抓住万有引力提供向心力,列式表示出线速度、角速度、周期等物理量,再进行比较即可.
练习册系列答案
相关题目