题目内容

质量m=4 kg的质点静止在光滑水平面上的直角坐标系的原点O,先用沿+x轴方向的力F1=8 N作用了2 s,然后撤去F1;再用沿+y轴方向的力F2=24 N作用了1 s,则质点在这3 s内的轨迹为

 

 

【答案】

D

【解析】

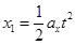
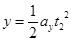
试题分析:由牛顿第二定律知在0-2s内=2 m/s2,物体在x轴方向运动=4m,2s末物体的速度=4m/s,2s后物体做匀变速直线运动,即沿x方向匀速直线运动,沿y方向匀加速直线运动,=6 m/s2,3s末=8m, =3m,又因为受力方向为y方向,所以D选项正确。

考点:此题考查学生对匀变速曲线运动的理解

 

练习册系列答案
相关题目

违法和不良信息举报电话:027-86699610 举报邮箱:58377363@163.com

精英家教网