题目内容

图是某导体的伏安特性曲线,由图可知(  )

A、导体的电阻是25

B、导体的电阻是0.04

C、当导体两端的电压是10V时,通过导体的电流是0.4A

D、当通过导体的电流是0.1A时,导体两端的电压是2.5V

 

【答案】

ACD

【解析】

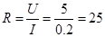
试题分析:由电阻的定义可知Ω,故选项A正确B错误;由A,故选项C正确;由V,故选项D正确.

考点:本题考查伏安特性曲线的理解和应用.

 

练习册系列答案
相关题目

违法和不良信息举报电话:027-86699610 举报邮箱:58377363@163.com

精英家教网