题目内容
如图所示,在发射地球同步卫星的过程中,卫星首先进入椭圆轨道I,然后在Q点通过改变卫星速度,让卫星进人地球同步轨道Ⅱ,则下列说法不正确的是( )A.该卫星需在Q点点火加速才能进入同步轨道Ⅱ
B.卫星在同步轨道II上的运行速度大于在轨道I上Q点的速度
C.卫星在轨道I上P点的速度小于在轨道Ⅱ上的速度
D.如果要把该同步卫星回收且在P点着落可在轨道Ⅱ上的Q点通过点火减速实现
【答案】分析:当万有引力刚好提供卫星所需向心力时 卫星正好可以做匀速圆周运动
1.若是供大于需 则卫星做逐渐靠近圆心的运动
2.若是供小于需 则卫星做逐渐远离圆心的运动
解答:解:A、从椭圆轨道Ⅰ到同步轨道Ⅱ,卫星在Q点是做逐渐远离圆心的运动,要实现这个运动必须卫星所需向心力大于万有引力,所以应给卫星加速,增加所需的向心力.所以卫星在Q点通过加速实现由轨道Ⅰ进入轨道Ⅱ.故A正确.
B、从轨道Ⅰ到轨道Ⅱ,卫星在Q点是做逐渐远离圆心的运动,要实现这个运动必须使卫星所需向心力大于万有引力,所以应给卫星加速,增加所需的向心力.所以在轨道Ⅱ上Q点的速度大于轨道上ⅠQ点的速度.故B正确.
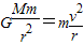
C、根据
得:v=
,在轨道I上P点的半径小于轨道Ⅱ的半径,所以速度大于轨道Ⅱ的速度,故C错误;
D、要把该同步卫星回收,卫星在Q点是做近心运动,要实现这个运动必须卫星所需向心力小于万有引力,所以应给卫星减速,减小所需的向心力.所以卫星在Q点通过减速实现由轨道Ⅱ进入轨道Ⅰ.故D正确.
本题选错误的,
故选C.
点评:卫星变轨也就是近心运动或离心运动,根据提供的万有引力和所需的向心力关系确定.
1.若是供大于需 则卫星做逐渐靠近圆心的运动
2.若是供小于需 则卫星做逐渐远离圆心的运动
解答:解:A、从椭圆轨道Ⅰ到同步轨道Ⅱ,卫星在Q点是做逐渐远离圆心的运动,要实现这个运动必须卫星所需向心力大于万有引力,所以应给卫星加速,增加所需的向心力.所以卫星在Q点通过加速实现由轨道Ⅰ进入轨道Ⅱ.故A正确.
B、从轨道Ⅰ到轨道Ⅱ,卫星在Q点是做逐渐远离圆心的运动,要实现这个运动必须使卫星所需向心力大于万有引力,所以应给卫星加速,增加所需的向心力.所以在轨道Ⅱ上Q点的速度大于轨道上ⅠQ点的速度.故B正确.
C、根据
D、要把该同步卫星回收,卫星在Q点是做近心运动,要实现这个运动必须卫星所需向心力小于万有引力,所以应给卫星减速,减小所需的向心力.所以卫星在Q点通过减速实现由轨道Ⅱ进入轨道Ⅰ.故D正确.
本题选错误的,
故选C.
点评:卫星变轨也就是近心运动或离心运动,根据提供的万有引力和所需的向心力关系确定.
练习册系列答案
相关题目
| A、该卫星的发射速度必定大于11.2 km/s | B、卫星在同步轨道II上的运行速度大于7.9 km/s | C、在轨道I上,卫星在P点的速度大于在Q点的速度 | D、卫星在Q点通过加速实现由轨道I进入轨道II |
| A、该卫星需在Q点点火加速才能进入同步轨道Ⅱ | B、卫星在同步轨道II上的运行速度大于在轨道I上Q点的速度 | C、卫星在轨道I上P点的速度小于在轨道Ⅱ上的速度 | D、如果要把该同步卫星回收且在P点着陆可在轨道Ⅱ上的Q点通过点火减速实现 |