ÌâÄ¿ÄÚÈÝ
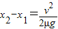
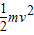
A£®µç¶¯»ú¶à×öµÄ¹¦Îª
B£®ÎïÌåÔÚ´«ËÍ´øÉϵĻ®ºÛ³¤
C£®´«ËÍ´ø¿Ë·þĦ²ÁÁ¦×öµÄ¹¦Îª
D£®µç¶¯»úÔö¼ÓµÄ¹¦ÂÊΪ¦Ìmgv
¡¾´ð°¸¡¿·ÖÎö£ºÎïÌåÔÚ´«ËÍ´øÉÏÔ˶¯Ê±£¬ÎïÌåºÍ´«ËÍ´øÒª·¢ÉúÏà¶Ô»¬¶¯£¬ÏÈ×öÔȼÓËÙÖ±ÏßÔ˶¯£¬µ±ËÙ¶È´ïµ½´«ËÍ´øËٶȺó×öÔÈËÙÖ±ÏßÔ˶¯£¬µç¶¯»ú¶à×öµÄ¹¦Ò»²¿·Öת»¯³ÉÁËÎïÌåµÄ¶¯ÄÜ£¬»¹ÓÐÒ»²¿·Öת»¯ÎªÄÚÄÜ£®
½â´ð£º½â£ºA¡¢µç¶¯»ú¶à×öµÄ¹¦×ª»¯³ÉÁËÎïÌåµÄ¶¯ÄܺÍÄÚÄÜ£¬ÎïÌåÔÚÕâ¸ö¹ý³ÌÖлñµÃ¶¯ÄܾÍÊÇ
£¬ËùÒԵ綯»ú¶à×öµÄ¹¦Ò»¶¨Òª´óÓÚ
£®¹ÊA´íÎó£®
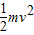
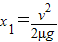
B¡¢ÎïÌåÔÚ´«ËÍ´øÉϵĻ®ºÛ³¤µÈÓÚÎïÌåÔÚ´«ËÍ´øÉϵÄÏà¶ÔÎ»ÒÆ£¬Îï¿é´ïµ½ËÙ¶ÈvËùÐèµÄʱ¼ä
£¬ÔÚÕâ¶Îʱ¼äÄÚÎï¿éµÄÎ»ÒÆ
£¬´«ËÍ´øµÄÎ»ÒÆ
£®ÔòÎïÌåÏà¶ÔÎ»ÒÆx=
£®¹ÊB´íÎó£®
C¡¢´«ËÍ´ø¿Ë·þĦ²ÁÁ¦×öµÄ¹¦¾ÍΪµç¶¯»ú¶à×öµÄ¹¦£¬ËùÒÔÓÉAµÄ·ÖÎö¿ÉÖª£¬C´íÎó£®
D¡¢µç¶¯»úÔö¼ÓµÄ¹¦Âʼ´Îª¿Ë·þĦ²ÁÁ¦×ö¹¦µÄ¹¦ÂÊ£¬´óСΪfv=¦Ìmgv£¬ËùÒÔDÕýÈ·£®
¹ÊÑ¡D£®
µãÆÀ£º½â¾ö±¾ÌâµÄ¹Ø¼üÕÆÎÕÄÜÁ¿Êغ㶨ÂÉ£¬ÒÔ¼°ÖªµÀ»®ºÛµÄ³¤¶ÈµÈÓÚÎï¿éÔÚ´«ËÍ´øÉϵÄÏà¶ÔÎ»ÒÆ£®
½â´ð£º½â£ºA¡¢µç¶¯»ú¶à×öµÄ¹¦×ª»¯³ÉÁËÎïÌåµÄ¶¯ÄܺÍÄÚÄÜ£¬ÎïÌåÔÚÕâ¸ö¹ý³ÌÖлñµÃ¶¯ÄܾÍÊÇ
B¡¢ÎïÌåÔÚ´«ËÍ´øÉϵĻ®ºÛ³¤µÈÓÚÎïÌåÔÚ´«ËÍ´øÉϵÄÏà¶ÔÎ»ÒÆ£¬Îï¿é´ïµ½ËÙ¶ÈvËùÐèµÄʱ¼ä
C¡¢´«ËÍ´ø¿Ë·þĦ²ÁÁ¦×öµÄ¹¦¾ÍΪµç¶¯»ú¶à×öµÄ¹¦£¬ËùÒÔÓÉAµÄ·ÖÎö¿ÉÖª£¬C´íÎó£®
D¡¢µç¶¯»úÔö¼ÓµÄ¹¦Âʼ´Îª¿Ë·þĦ²ÁÁ¦×ö¹¦µÄ¹¦ÂÊ£¬´óСΪfv=¦Ìmgv£¬ËùÒÔDÕýÈ·£®
¹ÊÑ¡D£®
µãÆÀ£º½â¾ö±¾ÌâµÄ¹Ø¼üÕÆÎÕÄÜÁ¿Êغ㶨ÂÉ£¬ÒÔ¼°ÖªµÀ»®ºÛµÄ³¤¶ÈµÈÓÚÎï¿éÔÚ´«ËÍ´øÉϵÄÏà¶ÔÎ»ÒÆ£®
Á·Ï°²áϵÁдð°¸
Ïà¹ØÌâÄ¿
| A¡¢µØÃæ¶ÔШÐÎÎï¿éµÄÖ§³ÖÁ¦Îª£¨M+m£©g | B¡¢µØÃæ¶ÔШÐÎÎï¿éµÄĦ²ÁÁ¦ÎªÁã | C¡¢Ð¨ÐÎÎï¿é¶ÔСÎï¿éĦ²ÁÁ¦¿ÉÄÜΪÁã | D¡¢Ð¡Îï¿éÒ»¶¨Êܵ½ËĸöÁ¦×÷Óà |