题目内容
如图所示,水平面内有三块相同的圆板,分别用两根、三根、四根不可伸长的细线按三种不同的方式拴结一个质量为m的小球,细线的另一端都栓结在圆板边缘,且栓结点均匀分布在圆周上,三种情况细线与竖直方向的 夹角分别为30°、45°、60°,三种情况绳子的拉力分别为F1、F2、F3它们的大小关系是( )A.F1>F2>F3
B.F1<F2<F3
C.F1>F3>F2
D.F2>F1>F3
【答案】分析:三幅图中,小球均受重力和绳子的拉力,不同的是拉力的个数和方向不同;根据平衡条件,拉力的竖直分力的合力等于重力.
解答:解:三幅图中,小球均受重力和绳子的拉力,根据平衡条件,拉力的竖直分力的合力等于重力,故有:
2F1cos30°=mg ①
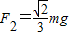
3F2cos45°=mg ②
4F3cos60°=mg ③
解得:


故F1>F3>F2;
故选C.
点评:本题关键受力分析后,将绳子的拉力沿着水平和竖直方向正交分解,然后根据竖直方向合力为零列式比较.
解答:解:三幅图中,小球均受重力和绳子的拉力,根据平衡条件,拉力的竖直分力的合力等于重力,故有:
2F1cos30°=mg ①
3F2cos45°=mg ②
4F3cos60°=mg ③
解得:
故F1>F3>F2;
故选C.
点评:本题关键受力分析后,将绳子的拉力沿着水平和竖直方向正交分解,然后根据竖直方向合力为零列式比较.
练习册系列答案
相关题目