题目内容

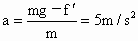
如图所示,弹簧秤下挂重力为100N的粗细均匀的直棒A,棒上套有重20N的套环B,当B下滑时,弹簧秤的读数为110N.此时B下落的加速度为________.()

答案:5
解析:

对直棒A受力分析,可知其在受重力Mg,向上弹簧拉力T,及向下的摩擦力f的作用下平衡,则Mgf=T,得f=TMg=10N.对环B受力分析,其受重力mg及向上的摩擦力,产生的加速度.分别选取两物体为研究对象,受力分析,根据牛顿定律列方程.


练习册系列答案
相关题目

违法和不良信息举报电话:027-86699610 举报邮箱:58377363@163.com

精英家教网