题目内容
如图为竖直放置的上细下粗的密闭细管,水银柱将气体分隔成A、B两部分,初始温度相同.使A、B升高相同温度达到稳定后,体积变化量为△VA、△VB,压强变化量为△pA、△pB,对液面压力的变化量为△FA、△FB,则( )A.水银柱向上移动了一段距离
B.△VA<△VB
C.△pA>△pB
D.△FA=△FB
【答案】分析:本题可采取假设法,假设气体的体积不变,根据等容变化判断出上下气体的压强变化量以及压力变化量,从而判断出水银柱的移动方向.关于体积的变化量关系,可抓住总体积不变去分析.
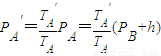
解答:解:首先假设液柱不动,则A、B两部分气体发生等容变化,由查理定律,对气体A:
;对气体B:
,又初始状态满足PA=PB+h,可见使A、B升高相同温度,
,
,因此△PA>△PB,因此△FA>△FB液柱将向上移动,A正确,C正确;由于气体的总体积不变,因此△VA=△VB,所以B、D错误.
故选AC.
点评:解决本题的关键是选择合适的方法,假设法在本题中得到了很好的应用.
解答:解:首先假设液柱不动,则A、B两部分气体发生等容变化,由查理定律,对气体A:
故选AC.
点评:解决本题的关键是选择合适的方法,假设法在本题中得到了很好的应用.
练习册系列答案
相关题目