题目内容

已知地球半径约为,又知月球绕地球的运动可近似看作圆周运动,则可估算出月球到地心的距离约为多少?(结果只保留一位有效数字)

答案:略
解析:

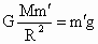
解:万有引力提供向心力,则有

其中T27×24×3600s

又可以认为重力等于万有引力,则有

其中R为地球半径

由①②两式得:


练习册系列答案
相关题目

违法和不良信息举报电话:027-86699610 举报邮箱:58377363@163.com

精英家教网