题目内容

两根相距为L=1 m的足够长的金属导轨如图所示放置,一组导轨水平,另一组平行导轨与水平面成37°角,拐角处连接一阻值为R=1 Ω的电阻.质量均为m=1 kg的金属细杆ab、cd与导轨垂直接触形成闭合回路,杆与导轨之间的动摩擦因数均为μ=0.5,导轨电阻不计,两杆的电阻均为R=1 Ω.整个装置处于磁感应强度大小为B=1 T,方向竖直向上的匀强磁场中.当ab杆在平行于水平导轨的拉力作用下沿导轨向右匀速运动时,静止的cd杆所受摩擦力为最大静摩擦力,方向沿斜面向下.求此拉力的功率.(重力加速度g=10 m/s2.可认为最大静摩擦力等于滑动摩擦力)

答案:
解析:

   3分

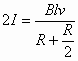
   2分

  I=20 A 1分

   4分 v=60 m/s 1分

   3分

   3分


练习册系列答案
相关题目

违法和不良信息举报电话:027-86699610 举报邮箱:58377363@163.com

精英家教网