搜索
题目内容
某风力发电网中,每台风力发电机4 张叶片总共的有效迎风面积为S ,空气密度为ρ,平均风速为v ,设风力发电机的效率(风的动能转化为电能的百分比)为η,则每台风力发电机的平均功率为多少?
试题答案
相关练习册答案
解:设t 时间内吹到每台发电机叶 片上的空气质量为m
则m= ρSvt
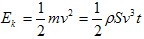
空气的动能为
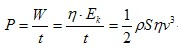
发电机的平均功率为
练习册系列答案
快乐的假期生活暑假作业哈尔滨出版社系列答案
暑假作业内蒙古大学出版社系列答案
期末加暑假加衔接全优假期年度总复习云南科技出版社系列答案
暑假作业与生活陕西师范大学出版总社系列答案
寒假作业兰州大学出版社系列答案
本土暑假云南美术出版社系列答案
暑假作业内蒙古人民出版社系列答案
暑假作业与生活陕西人民教育出版社系列答案
快乐暑假河北少年儿童出版社系列答案
新思维假期作业暑假吉林大学出版社系列答案
相关题目
关 闭
试题分类
高中
数学
英语
物理
化学
生物
地理
初中
数学
英语
物理
化学
生物
地理
小学
数学
英语
其他
阅读理解答案
已回答习题
未回答习题
题目汇总
试卷汇总
练习册解析答案