题目内容
甲、乙两车做同向直线运动,初始相距S=10m.已知甲车在前以速度v=4m/s作匀速直线运动,乙车以初速度vo=16m/s开始作匀减速运动,加速度大小为a=4m/s2.试分析:两车相遇几次?何时相遇?
【答案】分析:根据位移关系,根据运动学公式求出两者相遇时所经历的时间.注意乙车速度为零后不再运动,要讨论汽车速度减小为零所需的时间,从而确定第二次相遇时乙车是静止的还是运动的.
解答:解:设二者经时间t相遇,则
代数字解得:t1=1s; t2=5s
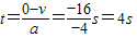
因为汽车匀减速到零的时间
.所以t2大于乙车刹车时间,舍去.
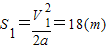
1s末乙车的速度为V1=V-at1=12m/s,它以此速度超过甲车并继续做匀减速直线运动至停止后被甲车追上.乙车在这一阶段发生的位移为:

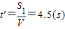
甲车追上乙车所需要的时间为:
故第二次相遇的时刻为:
t2=t1+t′=5.5(s)
即二者共相遇两次,相遇时间分别为t1=1s;t2=5.5s.
答:两车相遇两次,相遇的时间分别为1s、5.5s.
点评:解物理问题要符合时间情况,不能像解数学题一样.对于追及问题注意列位移、时间方程.本题还要注意乙车速度减小为零的时间,因为这样可以确定第二次相遇乙车是静止的还是运动的.
解答:解:设二者经时间t相遇,则
代数字解得:t1=1s; t2=5s
因为汽车匀减速到零的时间
1s末乙车的速度为V1=V-at1=12m/s,它以此速度超过甲车并继续做匀减速直线运动至停止后被甲车追上.乙车在这一阶段发生的位移为:
甲车追上乙车所需要的时间为:
故第二次相遇的时刻为:
t2=t1+t′=5.5(s)
即二者共相遇两次,相遇时间分别为t1=1s;t2=5.5s.
答:两车相遇两次,相遇的时间分别为1s、5.5s.
点评:解物理问题要符合时间情况,不能像解数学题一样.对于追及问题注意列位移、时间方程.本题还要注意乙车速度减小为零的时间,因为这样可以确定第二次相遇乙车是静止的还是运动的.
练习册系列答案
相关题目