ÌâÄ¿ÄÚÈÝ
¹âµç¼ÆÊ±Æ÷ÊÇÒ»ÖÖÑо¿ÎïÌåÔ˶¯Çé¿öµÄ³£¼ûÒÇÆ÷£®µ±ÓÐÎïÌå´Ó¹âµçÃÅͨ¹ýʱ£¬¹âµç¼ÆÊ±Æ÷¾Í¿ÉÒÔÏÔʾÎïÌåµÄµ²¹âʱ¼ä£®ÏÖÀûÓÃÈçͼ¼×ËùʾװÖÃ̽¾¿ÎïÌåµÄ¼ÓËÙ¶ÈÓëºÏÍâÁ¦¡¢ÖÊÁ¿¹ØÏµ£¬Æä NQÊÇˮƽ×ÀÃæ£¬PQÊÇÒ»¶Ë´øÓл¬Âֵij¤Ä¾°å£¬1¡¢2Êǹ̶¨ÔÚľ°åÉϵÄÁ½¸ö¹âµçÃÅ£¨ÓëÖ®Á¬½ÓµÄÁ½¸ö¹âµç¼ÆÊ±Æ÷ûÓл³ö£©£®Ð¡³µÉϹ̶¨×ÅÓÃÓÚµ²¹âµÄÕÆ¬K£¬²âµÃÆä¿í¶ÈΪd£¬ÈÃС³µ´Óľ°åµÄ¶¥¶Ë»¬Ï£¬¹âµçß÷×ÔÁ¬½ÓµÄ¼ÆÊ±Æ÷ÏÔÊ¾ÕÆ¬KµÄµ²¹âʱ¼ä·Ö±ðΪt1ºÍt2£®£¨1£©¸ÃʵÑéÖУ¬ÔڸıäС³µµÄÖÊÁ¿M»òɳͰµÄ×ÜÖÊÁ¿mʱ£¬±£³ÖM£¾£¾m£¬ÕâÑù×öµÄÄ¿µÄÊÇ £»
£¨2£©ÎªÁ˼ÆËã³öС³µµÄ¼ÓËÙ¶È£¬³ýÁ˲âÁ¿d¡¢t1ºÍt2Ö®Í⣬»¹ÐèÒª²âÁ¿ £¬ÈôÉÏÊö²âÁ¿Á¿ÓÃx±íʾ£¬ÔòÓÃÕâЩÎïÀíÁ¿¼ÆËã¼ÓËٶȵıí´ïʽΪa= £»
£¨3£©Ä³Î»Í¬Ñ§¾¹ý²âÁ¿¡¢¼ÆËãµÃµ½ÈçϱíÊý¾Ý£¬ÇëÔÚͼÒÒÖÐ×÷³öС³µ¼ÓËÙ¶ÈÓëËùÊܺÏÍâÁ¦µÄ¹ØÏµÍ¼Ïó£®
| ×é±ð | 1 | 2 | 3 | 4 | 5 | 6 | 7 |
| M/kg | 0.58 | 0.58 | 0.58 | 0.58 | 0.58 | 0.58 | 0.58 |
| F/N | 0.10 | 0.15 | 0.20 | 0.25 | 0.30 | 0.35 | 0.40 |
| a/m?s-2 | 0.13 | 0.17 | 0.26 | 0.34 | 0.43 | 0.51 | 0.59 |
£®
¡¾´ð°¸¡¿·ÖÎö£º½â¾öʵÑéÎÊÌâÊ×ÏÈÒªÕÆÎÕ¸ÃʵÑéÔÀí£¬Á˽âʵÑéµÄÒÇÆ÷¡¢²Ù×÷²½ÖèºÍÊý¾Ý´¦ÀíÒÔ¼°×¢ÒâÊÂÏ
¸ÃʵÑé²ÉÓõÄÊÇ¿ØÖƱäÁ¿·¨Ñо¿£¬ÆäÖмÓËÙ¶È¡¢ÖÊÁ¿¡¢ºÏÁ¦ÈýÕߵIJâÁ¿ºÜÖØÒª£®
ΪÏû³ýĦ²ÁÁ¦¶ÔʵÑéµÄÓ°Ï죬¿ÉÒÔ°Ñľ°åµÄ×ó¶ËÊʵ±µæ¸ß£¬É³Í°µÄ×ÜÖØÁ¦ÒªÔ¶Ð¡ÓÚС³µµÄÖØÁ¦£¬¿ÉʹС³µµÄºÏÁ¦½üËÆµÈÓÚɳͰ×ÜÖØÁ¦À´²âÁ¿£®
½â´ð£º½â£º£¨1£©ÉèС³µµÄÖÊÁ¿ÎªM£¬É³Í°µÄÖÊÁ¿Îªm£¬¸ù¾ÝÅ£¶ÙµÚ¶þ¶¨Âɵãº
¶Ôm£ºmg-FÀ=ma
¶ÔM£ºFÀ=Ma
½âµÃ£ºFÀ=
=
µ±m£¼£¼Mʱ£¬¼´µ±É³Í°µÄ×ÜÖØÁ¦ÒªÔ¶Ð¡ÓÚС³µµÄÖØÁ¦£¬Éþ×ÓµÄÀÁ¦½üËÆµÈÓÚɳͰµÄ×ÜÖØÁ¦£®
ÕâÑù×öµÄÄ¿µÄÊÇС³µËùÊܺÏÍâÁ¦´óСµÈÓÚ£¨»òÔ¼µÈÓÚ£©mg£®
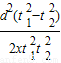
£¨2£©³ýÁ˲âÁ¿d¡¢t1ºÍt2Ö®Í⣬»¹ÐèÒª²âÁ¿Á½¹âµçÃÅÖ®¼äµÄ¾àÀ룬v1=
£¬v2=
£¬
¼ÓËٶȵıí´ïʽΪa=
=
£®
£¨3£©ÈçÏÂͼ

£¨4£©´ÓÉÏͼÖз¢ÏÖÖ±Ïßû¹ýԵ㣬µ±F¡Ù0ʱ£¬a=0£®Ò²¾ÍÊÇ˵µ±Éþ×ÓÉÏÓÐÀÁ¦Ê±Ð¡³µµÄ¼ÓËÙ¶È»¹Îª0£¬ËµÃ÷С³µµÄĦ²ÁÁ¦ÓëÉþ×ÓµÄÀÁ¦µÖÏûÄØ£®¸ÃͬѧʵÑéǰδƽºâĦ²ÁÁ¦»òƽºâĦ²ÁÁ¦²»³ä·Ö£®
¹Ê´ð°¸Îª£º£¨1£©Ð¡³µËùÊܺÏÍâÁ¦´óСµÈÓÚ£¨»òÔ¼µÈÓÚ£©mg
£¨2£©Á½¹âµçÃÅÖ®¼äµÄ¾àÀ룬
£¨3£©ÉÏͼ
£¨4£©Î´Æ½ºâĦ²ÁÁ¦»òƽºâĦ²ÁÁ¦²»³ä·Ö£®
µãÆÀ£º¶ÔÓÚʵÑéÎÒÃÇÒªÇå³þÿһÏî²Ù×÷´æÔÚµÄÀíÓÉ£®±ÈÈçΪʲôҪƽºâĦ²ÁÁ¦£¬ÎªÊ²Ã´ÒªÏȽÓͨµçÔ´ºóÊÍ·ÅÖ½´øµÈ£®
ÕâÑùÎÊÌâÎÒÃÇÒª´ÓʵÑéÔÀíºÍ¼õÉÙʵÑéÎó²î·½ÃæÈ¥½â¾ö£®
¸ÃʵÑé²ÉÓõÄÊÇ¿ØÖƱäÁ¿·¨Ñо¿£¬ÆäÖмÓËÙ¶È¡¢ÖÊÁ¿¡¢ºÏÁ¦ÈýÕߵIJâÁ¿ºÜÖØÒª£®
ΪÏû³ýĦ²ÁÁ¦¶ÔʵÑéµÄÓ°Ï죬¿ÉÒÔ°Ñľ°åµÄ×ó¶ËÊʵ±µæ¸ß£¬É³Í°µÄ×ÜÖØÁ¦ÒªÔ¶Ð¡ÓÚС³µµÄÖØÁ¦£¬¿ÉʹС³µµÄºÏÁ¦½üËÆµÈÓÚɳͰ×ÜÖØÁ¦À´²âÁ¿£®
½â´ð£º½â£º£¨1£©ÉèС³µµÄÖÊÁ¿ÎªM£¬É³Í°µÄÖÊÁ¿Îªm£¬¸ù¾ÝÅ£¶ÙµÚ¶þ¶¨Âɵãº
¶Ôm£ºmg-FÀ=ma
¶ÔM£ºFÀ=Ma
½âµÃ£ºFÀ=
µ±m£¼£¼Mʱ£¬¼´µ±É³Í°µÄ×ÜÖØÁ¦ÒªÔ¶Ð¡ÓÚС³µµÄÖØÁ¦£¬Éþ×ÓµÄÀÁ¦½üËÆµÈÓÚɳͰµÄ×ÜÖØÁ¦£®
ÕâÑù×öµÄÄ¿µÄÊÇС³µËùÊܺÏÍâÁ¦´óСµÈÓÚ£¨»òÔ¼µÈÓÚ£©mg£®
£¨2£©³ýÁ˲âÁ¿d¡¢t1ºÍt2Ö®Í⣬»¹ÐèÒª²âÁ¿Á½¹âµçÃÅÖ®¼äµÄ¾àÀ룬v1=
¼ÓËٶȵıí´ïʽΪa=
£¨3£©ÈçÏÂͼ
£¨4£©´ÓÉÏͼÖз¢ÏÖÖ±Ïßû¹ýԵ㣬µ±F¡Ù0ʱ£¬a=0£®Ò²¾ÍÊÇ˵µ±Éþ×ÓÉÏÓÐÀÁ¦Ê±Ð¡³µµÄ¼ÓËÙ¶È»¹Îª0£¬ËµÃ÷С³µµÄĦ²ÁÁ¦ÓëÉþ×ÓµÄÀÁ¦µÖÏûÄØ£®¸ÃͬѧʵÑéǰδƽºâĦ²ÁÁ¦»òƽºâĦ²ÁÁ¦²»³ä·Ö£®
¹Ê´ð°¸Îª£º£¨1£©Ð¡³µËùÊܺÏÍâÁ¦´óСµÈÓÚ£¨»òÔ¼µÈÓÚ£©mg
£¨2£©Á½¹âµçÃÅÖ®¼äµÄ¾àÀ룬
£¨3£©ÉÏͼ
£¨4£©Î´Æ½ºâĦ²ÁÁ¦»òƽºâĦ²ÁÁ¦²»³ä·Ö£®
µãÆÀ£º¶ÔÓÚʵÑéÎÒÃÇÒªÇå³þÿһÏî²Ù×÷´æÔÚµÄÀíÓÉ£®±ÈÈçΪʲôҪƽºâĦ²ÁÁ¦£¬ÎªÊ²Ã´ÒªÏȽÓͨµçÔ´ºóÊÍ·ÅÖ½´øµÈ£®
ÕâÑùÎÊÌâÎÒÃÇÒª´ÓʵÑéÔÀíºÍ¼õÉÙʵÑéÎó²î·½ÃæÈ¥½â¾ö£®
Á·Ï°²áϵÁдð°¸
Ïà¹ØÌâÄ¿