题目内容
如图所示,在水平面上,有两个质量分别为m1和m2的物体A、B与水平面的摩擦因数均为μ,m1>m2,A、B间水平连接着一轻质弹簧秤.若用大小为F的水平力向右拉B,稳定后B的加速度大小为a1,弹簧秤示数为F1;如果改用大小为F的水平力向左拉A,稳定后A的加速度大小为a2,弹簧秤示数为F2.则以下关系式正确的是( )A.a1=a2,F1>F2
B.a1=a2,F1<F2
C.a1=a2,F1=F2
D.a1>a2,F1>F2
【答案】分析:这题是连接体问题,稳定后,A、B的加速度相同,可先对整体法用牛顿第二定律求出加速度.当F拉B时,再隔离研究A,由牛顿第二定律求出弹力F1;当F拉A时,隔离B研究求出弹力F2,最后比较大小.
解答:解:以整体为研究对象,根据牛顿第二定律得
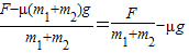
a1=
a2=
得到a1=a2
当F拉B时,以A为研究对象
F1-μm1g=m1a1
得到F1=μm1g+m1a1=
同理,当F拉A时,以B为研究对象
得到F1=
由于m1>m2,则F1>F2
综上,A正确,B、C、D错误
故选A.
点评:本题不能想当然,凭感觉得出弹力的大小关系,而是要根据牛顿第二定律用整体法和隔离法结合严格推导.处理连接体问题,关键是灵活选择研究对象.
解答:解:以整体为研究对象,根据牛顿第二定律得
a1=
a2=
当F拉B时,以A为研究对象
F1-μm1g=m1a1
得到F1=μm1g+m1a1=
同理,当F拉A时,以B为研究对象
得到F1=
由于m1>m2,则F1>F2
综上,A正确,B、C、D错误
故选A.
点评:本题不能想当然,凭感觉得出弹力的大小关系,而是要根据牛顿第二定律用整体法和隔离法结合严格推导.处理连接体问题,关键是灵活选择研究对象.
练习册系列答案
相关题目