ÌâÄ¿ÄÚÈÝ

ÓÃÒÔÏÂÆ÷²Ä²âÁ¿´ý²âµç×èRxµÄ×èÖµ£º
´ý²âµç×èRx£º×èֵԼΪ30¦¸£»
µçÔ´E£ºµç¶¯ÊÆÔ¼Îª6.0V¡¢ÄÚ×èºöÂÔ²»¼Æ£»
µçÁ÷±íA1£ºÁ¿³Ì50mA¡¢ÄÚ×èr1=20¦¸£»
µçÁ÷±íA2£ºÁ¿³Ì300mA¡¢ÄÚ×èr2ԼΪ4¦¸£»
¶¨Öµµç×èR£º×èֵΪ100¦¸£»
»¬¶¯±ä×èÆ÷R£º×î´ó×èֵΪ10¦¸£»
µ¥µ¶µ¥ÖÀ¿ª¹ØS¡¢µ¼ÏßÈô¸É£®
£¨1£©²âÁ¿ÖÐÒªÇóʹÓÃÁ½¿éµçÁ÷±íÇÒËüÃǵĶÁÊý¶¼²»Ð¡ÓÚÆäÁ¿³ÌµÄ1/3£¬ÊÔ½«·½¿òÖвâÁ¿µç×èRxµÄʵÑéµç·ԭÀíͼ²¹³äÍêÕû£¨Ô­ÀíͼÖеÄÔª¼þÓÃÌâ¸ÉÖÐÏàÓ¦µÄÓ¢ÎÄ×Öĸ±ê×¢£©£®
£¨2£©Èçͼij´Î²âÁ¿ÖеçÁ÷±íA1ºÍµçÁ÷±íA2 µÄʾÊý·Ö±ðΪI1ºÍI2£¬ÔòI1=______mA£¬I2=______mA£®
£¨3£©ÓÉÒÑÖªÁ¿ºÍ²âµÃÁ¿¼ÆËãRx=______¦¸£®£¨Ð¡Êýµãºó±£Áôһ룩
¡¾´ð°¸¡¿·ÖÎö£º£¨1£©Ëù¸øÆ÷²ÄûÓеçѹ±í£¬µ«ÆäÖÐÒ»¸öµçÁ÷±íµÄÁ¿³ÌºÍÄÚ×èÒÑÖª£¬¹Ê¿ÉÒ԰ѵçÁ÷±íA1Ó붨ֵµç×èR´®Áª¸Ä×°³Éµçѹ±í£¬ÁíÒ»µçÁ÷±í²âÁ¿µçÁ÷£¬¼´¿É²â³ö´ý²âµç×裮²¢ÓÉËùÑ¡µÄµç·µÄ»¬¶¯±ä×èÆ÷µÄ½Ó·¨È·¶¨Ó¦Ñ¡ÔñµÄ±ä×èÆ÷£®²¢ÓɵçÁ÷Óëµç×èϵÁÐʽÇó½â´ý²â×èÖµ£®
£¨2£©¸ù¾ÝÁ¿³Ì£¬·ÖÎö×îС·Ö¶È£¬ÔÙ¶Á³ö¶ÁÊý£»
£¨3£©¸ù¾Ýµç·µÄ½á¹¹ºÍ²¢Áªµç·µÄÌØµã£¬Çó³öRx£®
½â´ð£º½â£º£¨1£©²âÁ¿µç×èµÄ»ù±¾Ô­ÀíÊÇ·ü°²·¨£¬Ëù¸øÆ÷²ÄûÓеçѹ±í£¬¿ÉÓõçÁ÷±íA1Ó붨ֵµç×èR´®Áª¸Ä×°³Éµçѹ±í£¬ÁíÒ»µçÁ÷±í²âÁ¿µçÁ÷£®ÓÉÓÚ»¬¶¯±ä×èÆ÷RµÄ×î´ó×èֵΪ10¦¸£¬Ð¡ÓÚRx£¬¹Ê²ÉÓ÷Öѹ½Ó·¨£®µç·ͼÈçͼËùʾ£®
£¨2£©ÓÉͼ֪£¬I1=192.0mA£¬I2=40.0mA£®
£¨3£©¸ù¾ÝÅ·Ä·¶¨ÂɵãºRx==¦¸¡Ö31.6¦¸
´ð£º£¨1£©ÊµÑéµç·ͼÈçͼËùʾ£»
£¨2£©40.0£¬192.0
£¨3£©31.6
µãÆÀ£º¿¼²éµç×èµÄ²âÁ¿µç·µÄÉè¼Æ£¬ÄÜÁé»î¸ù¾ÝËù¸øµÄÆ÷²ÄÈ·¶¨ºÏÊʵĵç·£¬²¢»áÇó½â×èÖµ£®±¾ÌâÌåÏÖÁ˵ÈÐ§Ìæ´úµÄÉè¼ÆË¼Ï룮
Á·Ï°²áϵÁдð°¸
Ïà¹ØÌâÄ¿
¾«Ó¢¼Ò½ÌÍøÖйú»úÆ÷ÈËÅ©Ãñ·¢Ã÷¼ÒÎâÓñ»£¨±»ÓþΪÖйúµÄÌØË¹À­£©Ö»ÓÐСѧÎÄ»¯£¬ÎªÁ˸øËûµÄ»úÆ÷ÈËÎâÀ϶þÕÒÒ»¸ö¿É³äµçµç³Ø£¬ËûÔÚ·ÏÆ·Õ¾ÕÒµ½ÁËÒ»¸öÏóµç³ØÒ»ÑùÓÐÁ½¸öµç¼«µÄ×°Öã¬ÉÏÃæ±êÓС°TNT¡±µÈ×ÖÑù£¬Ëû¸ßÐ˵ØÄûØÈ¥³äµç£¬½á¹û²îµã¶ªÁËÐÔÃü£®Èç¹ûÄãÊÇËûµÄ¶ùÅ®£¬ÎªÁ˰²È«Æð¼û£¬ÄãÄܸøËûÌá³öһЩ½¨Òé»ò°ïÖúÂð£¿
£¨1£©¾­ÉÏÍø²éÕÒÕâÊÇÖ»¹¤ÒµµçÀ׹ܣ¬ÓɵçÄÜת»¯³ÉÈÈÄܶøÒý·¢±¬Õ¨µÄ£¬ÀûÓÃÁ˵çÁ÷µÄÈÈЧӦ£®¸øÄãÒ»¸ö¶àÓõç±íÄã»áÑ¡Ôñ
 
£¨Ö±Á÷µçÁ÷£¬Ö±Á÷µçѹ£¬µç×裩µ²À´ÅжÏËüÊÇ·ñΪµç³Ø£¬¿É±£Ö¤¼È°²È«ÓÖ·½±ã£®
£¨2£©¾­ºËʵ¸ÃµçÀ×¹ÜÈ«µç×èֵΪ6¦¸£¬ÆäÖеçÈÈË¿×èֵΪ5¦¸£¬Òý½ÅÏß³¤2m£¬×èֵΪ1¦¸£¬µ±Í¨ÒÔ0.45AµçÁ÷ʱԼ6sÖÓ±¬Õ¨£¬ÈôÎâÓñ»ÓÃ5.4VµÄµçѹ¸øËü³äµçʱÀíÂÛÉÏÔ¼
 
sÖÓ±¬Õ¨£¨Î£ÏÕ£©£®
£¨3£©Ä³ÐËȤС×é·¢ÑïÎâÓñ»¾«Éñ£¬Ó÷ü°²·¨Éè¼ÆÁËһʵ¼Ê¾«È·²âÁ¿ÉÏÊöµ¥Ö»µçÀ׹ܵç×èµÄµç·£®×¼±¸ÁËÒÔÏÂʵÑéÆ÷²Ä£º
´ý²âµçÀ×¹ÜRx£¬Õ¨Ò©Í°£¨±£»¤×÷Ó㬷À±¬ÆÆ£©
µçÁ÷±íA1£ºÁ¿³Ì0.5A¡¢ÄÚ×èÔ¼0.5¦¸
µçÁ÷±íA2£ºÁ¿³Ì30mA¡¢ÄÚ×èÔ¼30¦¸
µçѹ±íV1£ºÁ¿³Ì30V¡¢ÄÚ×èÔ¼10k¦¸
µçѹ±íV2£ºÁ¿³Ì2V¡¢ÄÚ×èÔ¼3k¦¸
»¬¶¯±ä×èÆ÷R£º0¡«10¦¸     
µç×èÏäR0£º0¡«999.9¦¸£¬0.1A
¸Éµç³ØE£ºµç¶¯ÊÆE=1.5V£¬ÄÚ×èrÔ¼0.1¦¸
µç¼üS¼°µ¼ÏßÈô¸É£¬
¢ÙÇëÉè¼ÆÒ»¸ö½ÏºÏÀíµÄµç·ԭÀíͼ£¬»­Ôڹ涨·½¿òÄÚ£¬ÒªÇóͨ¹ýµçÀ׹ܵĵçÁ÷²»³¬¹ý27mA£¬µçѹÄÜ´ÓÁãµ÷½Ú£¬¾¡¿ÉÄܼõСÎó²î£®
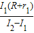
¢Ú²¢Ð´³öRxµÄ¼ÆË㹫ʽRx=
 
£»ËµÃ÷¹«Ê½Öи÷ÎïÀíÁ¿µÄÒâÒ壺
 
£®

Î¥·¨ºÍ²»Á¼ÐÅÏ¢¾Ù±¨µç»°£º027-86699610 ¾Ù±¨ÓÊÏ䣺58377363@163.com

¾«Ó¢¼Ò½ÌÍø