ÌâÄ¿ÄÚÈÝ
¼ÌÉñÃØµÄ»ðÐÇÖ®ºó£¬½ü¼¸ÄêÍÁÐÇÒ²³ÉÁËÊÀ½ç¹Ø×¢µÄ½¹µã£®¾¹ý½ü7Äê¡¢2ÒÚǧÃ×ÔÚÌ«¿ÕÖз糾ÆÍÆÍµÄ´©Ðкó£¬ÃÀº½Ìì¾ÖºÍÅ·º½Ìì¾ÖºÏ×÷Ñо¿³ö¡°¿¨Î÷ÄᡱºÅÍÁÐÇ̽²âÆ÷µÖ´ïÔ¤¶¨¹ìµÀ£¬¿ªÊ¼¡°°Ý·Ã¡±ÍÁÐǼ°ÆäÎÀÐǼÒ×壮ÕâÊÇÈËÀàÊ×´ÎÕë¶ÔÍÁÐǼ°Æä31¿ÅÒÑÖªÎÀÐÇ×îÏ꾡µÄ̽²â£®Èô¡°¿¨Î÷ÄᡱºÅÍÁÐÇ̽²âÆ÷½øÈëÍÁÐÇ·ÉÐеĹìµÀ£¬Ôڰ뾶ΪRµÄÍÁÐÇÉÏ¿ÕÀëÍÁÐDZíÃæ¸ßhµÄÔ²ÐιìµÀÉÏÈÆÍÁÐÇ·ÉÐУ¬»·ÈÆnÖÜ·ÉÐÐʱ¼äΪt£¬ÇóÍÁÐǵÄÖÊÁ¿ºÍƽ¾ùÃܶȣ®
¡¾´ð°¸¡¿·ÖÎö£ºÌ½²âÆ÷ÈÆÍÁÐÇ·ÉÐУ¬»·ÈÆnÖÜ·ÉÐÐʱ¼äΪt£¬Çó³ö̽²âÆ÷ÔËÐеÄÖÜÆÚ£®ÓÉÍÁÐǵÄÍòÓÐÒýÁ¦Ìṩ̽²âÆ÷µÄÏòÐÄÁ¦Áз½³ÌÇó³öÍÁÐǵÄÖÊÁ¿£¬ÓÉÃܶȹ«Ê½Çó³öÍÁÐÇµÄÆ½¾ùÃܶȣ®
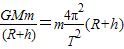
½â´ð£º½â£ºÓÉ
ÓÖT=
µÃ£º
ÓÉ
£¬V=
µÃ£º
´ð£ºÍÁÐǵÄÖÊÁ¿Îª
£¬Æ½¾ùÃܶÈΪ
£®
µãÆÀ£º±¾ÌâÌâÄ¿¿´Ëƺܳ¤£¬ÒªÄÍÐĶÁÌ⣬ץסҪµã£¬½¨Á¢ÎïÀíÄ£ÐÍ£ºÌ½²âÆ÷ÈÆÍÁÐÇ×öÔÈËÙÔ²ÖÜÔ˶¯£¬ÍÁÐǵÄÍòÓÐÒýÁ¦ÌṩÏòÐÄÁ¦£®
½â´ð£º½â£ºÓÉ
ÓÖT=
µÃ£º
ÓÉ
µÃ£º
´ð£ºÍÁÐǵÄÖÊÁ¿Îª
µãÆÀ£º±¾ÌâÌâÄ¿¿´Ëƺܳ¤£¬ÒªÄÍÐĶÁÌ⣬ץסҪµã£¬½¨Á¢ÎïÀíÄ£ÐÍ£ºÌ½²âÆ÷ÈÆÍÁÐÇ×öÔÈËÙÔ²ÖÜÔ˶¯£¬ÍÁÐǵÄÍòÓÐÒýÁ¦ÌṩÏòÐÄÁ¦£®
Á·Ï°²áϵÁдð°¸
Ïà¹ØÌâÄ¿