题目内容
如图所示,一列简谐波在x轴上传播,实线表示t1=0时波形,虚线表示t2=0.005s时的波形.求这列波的传播速度.
【答案】分析:由于波的传播方向未知,要分波沿x轴正方向和负方向传播两种方向研究.当波沿x轴正方向传播时,传播的最小距离为
波长,当波沿x轴正方向传播时,传播的最小距离为
波长,根据波的周期性写出波传播距离的通项,再求解波速的通项.
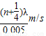
解答:解:若波沿x轴正方向,传播的距离为
x1=(n+
)λ,n=0,1,2,…
波速为v1=
=
=(400+1600n)m/s,n=0,1,2,…
同理,若波沿x轴负方向,传播的距离为 x2=(n+
)λ,n=0,1,2,…
波速为v2=
=(1200+1600n)m/s,n=0,1,2,…
答:这列波的传播速度为:波沿x轴正方向,波速为(400+1600n)m/s;若波沿x轴负方向,波速为(1200+1600n)m/s,(n=0,1,2,…)
点评:本题知道两个时刻的波形要确定波速,要考虑波的双向性和周期性,得到波速的通项,不能漏解,只得到特殊值.
解答:解:若波沿x轴正方向,传播的距离为
x1=(n+
波速为v1=
同理,若波沿x轴负方向,传播的距离为 x2=(n+
波速为v2=
答:这列波的传播速度为:波沿x轴正方向,波速为(400+1600n)m/s;若波沿x轴负方向,波速为(1200+1600n)m/s,(n=0,1,2,…)
点评:本题知道两个时刻的波形要确定波速,要考虑波的双向性和周期性,得到波速的通项,不能漏解,只得到特殊值.
练习册系列答案
相关题目