题目内容
某研究性学习小组用如图(a)所示装置验证机械能守恒定律.让一个摆球由静止开始从A位置摆到B位置,若不考虑空气阻力,小球的机械能应该守恒,即如图(a)中,悬点正下方P点处放有水平放置炽热的电热丝,当悬线摆至电热丝处时能轻易被烧断,小球由于惯性向前飞出作平抛运动.在地面上放上白纸,上面覆盖着复写纸,当小球落在复写纸上时,会在下面白纸上留下痕迹.
用重锤线确定出A、B点的投影点N、M.重复实验10次(小球每一次都从同一点由静止释放),球的落点痕迹如图(b)所示,图中米尺水平放置,零刻度线与M点对齐.用米尺量出AN的高度h1、BM的高度h2,算出A、B两点的竖直距离,再量出M、C之间的距离x,即可验证机械能守恒定律.已知重力加速度为g,小球的质量为m.
(1)根据图(b)可以确定小球平抛时的水平射程为______cm.
(2)用题中所给字母表示出小球平抛时的初速度v=______
【答案】分析:(1)注意读数时要进行估读.
(2)根据平抛运动规律可以求出初速度的大小.
(3)根据重力做功和重力势能的关系可求出重力势能的减小量,根据水平速度的大小可以求出动能的增量.
解答:解:(1)根据刻度尺的读数原则,可知其读数为:65.0cm.
故答案为:65.0.
(2)物体从B点平抛,所以有:
x=vt ①
②
联立①②解得:
故答案为:
.
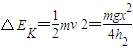
(3)重力势能的减小量等于重力做功:△Ep=mgh=mg(h1-h2)
动能增量为:.
故答案为:△EP=mg(h1-h2),△EK=
.
点评:本题借助平抛运动来验证机械能守恒,思路新颖,能够比较全面考查学生掌握知识情况.
(2)根据平抛运动规律可以求出初速度的大小.
(3)根据重力做功和重力势能的关系可求出重力势能的减小量,根据水平速度的大小可以求出动能的增量.
解答:解:(1)根据刻度尺的读数原则,可知其读数为:65.0cm.
故答案为:65.0.
(2)物体从B点平抛,所以有:
x=vt ①
联立①②解得:
故答案为:
(3)重力势能的减小量等于重力做功:△Ep=mgh=mg(h1-h2)
动能增量为:.
故答案为:△EP=mg(h1-h2),△EK=
点评:本题借助平抛运动来验证机械能守恒,思路新颖,能够比较全面考查学生掌握知识情况.
练习册系列答案
相关题目