ÌâÄ¿ÄÚÈÝ
һˮƽ·ÅÖõÄÔ²»·ÐθÕÐÔղ۹̶¨ÔÚ×ÀÃæÉÏ£¬²ÛÄÚǶ×ÅÈý¸ö´óСÏàͬµÄ¸ÕÐÔСÇò£¬ËüÃǵÄÖÊÁ¿·Ö±ðΪm1¡¢m2¡¢m3£¬ÇÒm2=m3=2m1£®Ð¡ÇòÓë²ÛµÄÁ½±Ú¸ÕºÃ½Ó´¥ÇÒ²»¼ÆËùÓÐĦ²Á£®Æð³õÈý¸öСÇò´¦ÓÚÈçͼËùʾµÄµÈ¼æ¾ßµÄ¢ñ¡¢¢ò¡¢¢óÈý¸öλÖã¬m2¡¢m3¾²Ö¹£¬m1ÒÔ³õËÙ¶Èv=
¡¾´ð°¸¡¿·ÖÎö£ºÍ¨¹ý¼ÆËã·ÖÎöÔ˶¯¹ý³Ì£ºm1ͨ¹ý
»¡³¤Óëm2Åöײ£¬Ëã³öÔ˶¯Ê±¼ä£®¸ù¾Ý¶¯Á¿Êغ㶨ÂÉÇó³öÅöײºóm1µÄËÙ¶È£®Åöײºóm2µÄËÙ¶È´óСΪ
£¬Ô˶¯µÄ»¡³¤
Óëm3Åöײ£¬Çó³öÔ˶¯Ê±¼ä£¬m2Óëm3Åöײ֮ºó¶þÕß½»»»ËÙ¶È£®m3Óëm1Ö®¼äµÄÅöײΪµ¯ÐÔÅöײ£¬¸ù¾Ý¶¯Á¿ÊغãºÍ¶¯ÄÜÊØºãÇó³öÅöײºóÁ½ÇòµÄËÙ¶È£¬¸ù¾ÝËÙ¶ÈÓëͨ¹ý·³ÌÇó³öÔ˶¯µÄʱ¼ä£®·ÖÎöÔ˶¯Ê±¼äÓë¸÷ÇòÔ˶¯Ê±¼ä£¬Çó³öÖÜÆÚ£®
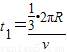
½â´ð£º½â£ºÉèm1¾¹ýt1Óëm2ÏàÅö£¬
=
Éèm1Óëm2Åöײ֮ºóÁ½ÇòµÄËÙ¶È·Ö±ðΪv1¡¢v2£¬ÔÚÅöײ¹ý³ÌÖÐÓɶ¯Á¿Êغ㶨Âɵãº
m1v=m1v1+2m1v2
ÓÉÌâv2=
£¬ÇóµÃv1=
£¬·½ÏòÓëÅöǰËÙ¶È·½ÏòÏà·´£®
Éèm2¾¹ýt2Óëm3ÏàÅö£¬t2=
=
Éèm2Óëm3Åöײ֮ºóÁ½ÇòµÄËÙ¶È·Ö±ðΪv2'¡¢v3'£¬Òòm2Óëm3ÔÚÅöײºó½»»»ËÙ¶È
ËùÒÔv2'=0£¬v3¡ä=
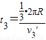
ÓÉÅöºóËٶȹØÏµÖª£¬m3Óëm1ÅöײµÄλÖÃÔÚ¢ñλÖã¬Éèm3¾¹ýt3Óëm1ÏàÅö£¬
Éèm3Óëm1ÅöײºóµÄËÙ¶È·Ö±ðΪv3''£¬v1''£¬Óɶ¯Á¿ÊغãºÍ»úеÄÜÊØºã¶¨Âɿɵãº
2m1v3'+m1v1=2m1v3''+m1v1''
ÁªÁ¢½âµÃ£ºv3''=0£¬v1''=v»ò
£¨Éᣩ
Éèm1Åöºó¾t4»Øµ½¢òλÖã¬t4=
ÖÁ´Ë£¬Èý¸öСÇòÏà¶ÔÓÚÔλÖ÷ֱð¸Ä±äÁË120£¬ÇÒËÙ¶ÈÓë×î³õ״̬Ïàͬ£®¹ÊÔÙ¾¹ýÁ½¸öÏàͬµÄ¹ý³Ì£¬¼´Íê³ÉÒ»¸öϵͳµÄÔ˶¯ÖÜÆÚ£®T=3£¨t1+t2+t3+t4£©=20s
´ð£º´ËϵͳµÄÔ˶¯ÖÜÆÚΪ20s£®
µãÆÀ£º±¾ÌâÎïÀí¹ý³ÌÏ൱¸´ÔÓ£¬Òª±ß¼ÆËã±ß·ÖÎö£¬¹Ø¼üÊÇÑо¿ÏµÍ³Ô˶¯ÖÜÆÚÓë¸÷¸öСÇòÔ˶¯Ê±¼äµÄ¹ØÏµ£®
½â´ð£º½â£ºÉèm1¾¹ýt1Óëm2ÏàÅö£¬
Éèm1Óëm2Åöײ֮ºóÁ½ÇòµÄËÙ¶È·Ö±ðΪv1¡¢v2£¬ÔÚÅöײ¹ý³ÌÖÐÓɶ¯Á¿Êغ㶨Âɵãº
m1v=m1v1+2m1v2
ÓÉÌâv2=
Éèm2¾¹ýt2Óëm3ÏàÅö£¬t2=
Éèm2Óëm3Åöײ֮ºóÁ½ÇòµÄËÙ¶È·Ö±ðΪv2'¡¢v3'£¬Òòm2Óëm3ÔÚÅöײºó½»»»ËÙ¶È
ËùÒÔv2'=0£¬v3¡ä=
ÓÉÅöºóËٶȹØÏµÖª£¬m3Óëm1ÅöײµÄλÖÃÔÚ¢ñλÖã¬Éèm3¾¹ýt3Óëm1ÏàÅö£¬
Éèm3Óëm1ÅöײºóµÄËÙ¶È·Ö±ðΪv3''£¬v1''£¬Óɶ¯Á¿ÊغãºÍ»úеÄÜÊØºã¶¨Âɿɵãº
2m1v3'+m1v1=2m1v3''+m1v1''
ÁªÁ¢½âµÃ£ºv3''=0£¬v1''=v»ò
Éèm1Åöºó¾t4»Øµ½¢òλÖã¬t4=
ÖÁ´Ë£¬Èý¸öСÇòÏà¶ÔÓÚÔλÖ÷ֱð¸Ä±äÁË120£¬ÇÒËÙ¶ÈÓë×î³õ״̬Ïàͬ£®¹ÊÔÙ¾¹ýÁ½¸öÏàͬµÄ¹ý³Ì£¬¼´Íê³ÉÒ»¸öϵͳµÄÔ˶¯ÖÜÆÚ£®T=3£¨t1+t2+t3+t4£©=20s
´ð£º´ËϵͳµÄÔ˶¯ÖÜÆÚΪ20s£®
µãÆÀ£º±¾ÌâÎïÀí¹ý³ÌÏ൱¸´ÔÓ£¬Òª±ß¼ÆËã±ß·ÖÎö£¬¹Ø¼üÊÇÑо¿ÏµÍ³Ô˶¯ÖÜÆÚÓë¸÷¸öСÇòÔ˶¯Ê±¼äµÄ¹ØÏµ£®
Á·Ï°²áϵÁдð°¸
Ïà¹ØÌâÄ¿