题目内容
如图所示的电路中,已知电源内阻r=lΩ,R1=4Ω,A、B为水平放置的平行板电容器,当S1,S2均闭合时,一电子从A板由静止开始飞到B板时速度为v;,当只有S1闭合时,电子从A板飞到B板过程中飞经板的中点C时速度为v,求R2的阻值.
【答案】分析:根据动能定理求出两种情况下,电容器板间电压之比.当S1,S2均闭合时,电容器板间电压等于电阻R2两端的电压,由欧姆定律得到电容器的电压与电源的电动势关系,当只有S1闭合时,电容器的电压等于电源的电动势,联立即可求出R2的阻值.
解答:解:设S1,S2均闭合时和只有S1闭合时电容器的电压分别为U1和U2.
根据动能定理得
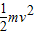
eU1=
e
=
得到,U2=2U1.
根据欧姆定律得
U1=
,U2=E
则有,
代入解得,R2=5Ω
答:R2的阻值是5Ω.
点评:本题是含有电容器的电路与电场知识、力学知识的综合,由动能定理研究电容器板间电压的关系是关键.
解答:解:设S1,S2均闭合时和只有S1闭合时电容器的电压分别为U1和U2.
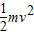
根据动能定理得
eU1=
e
得到,U2=2U1.
根据欧姆定律得
U1=
则有,
代入解得,R2=5Ω
答:R2的阻值是5Ω.
点评:本题是含有电容器的电路与电场知识、力学知识的综合,由动能定理研究电容器板间电压的关系是关键.
练习册系列答案
相关题目