题目内容

据美联社2002年10月7日报道,天文学家在太阳系的9大行星之外,又发现了一颗比地球小得多的新行星,而且还测得它绕太阳公转的周期约为288年.若把它和地球绕太阳公转的轨道都看作圆,问它与太阳的距离约是地球与太阳距离的多少倍?(最后结果可用根式表示)

答案:
解析:

  答案:44或

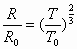
  解析:设太阳的质量为M,地球的质量为m0,绕太阳公转的周期为T0,与太阳的距离为R0;新行星的质量为m,绕太阳公转的周期为T,与太阳的距离为R,根据万有引力提供它们公转的向心力得

  =m()2R,=m0()2R0联立解得

  ,又已知T=288年,T0=1年,所以有=44或


练习册系列答案
相关题目

违法和不良信息举报电话:027-86699610 举报邮箱:58377363@163.com

精英家教网