题目内容
如图所示的两种电路中,电源相同,各电阻器阻值相等,各电流表的内阻相等且不可忽略不计.电流表A1、A2、A3和A4读出的电流值分别为I1、I2、I3和I4.下列关系式中正确的是( )
![]()
A.I1=I 3 B.I 1<I 4
C.I 2=2I 1 D.I 2<I 3+I 4
【答案】
BD
【解析】
试题分析:甲图中,电流表A2分一部分电压,并联部分的电压比乙图中并联部分的电压小,电流表A1、 A3、A4所在支路的电阻相同,所以两条支路中的电流不同,
; B正确;甲图中,电流表A1的示数比另一条支路中的电流小,所以
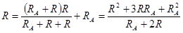
;C错误;甲图总电阻为:
,乙图总电阻为:
,
由
,可知
即I 2<I 3+I 4;D正确
考点:并联电路的电流规律
点评:难度较大,本题难度在于电表内阻都不能忽略,可把电流表看做小电阻处理,明确串并联关系,必要的时候利用公式推导
练习册系列答案
相关题目
| A、I1=I3 | B、I1<I4 | C、I2<I3+I4 | D、I2=2I1 |
如图所示的两种电路中,电源相同,各电阻器阻值相等,各电流表的内阻相等且不可忽略不计.电流表A1、A2、A3和A4读出的电流值分别为I1、I2、I3和I4.下列关系式中正确的是( )![]()
| A.I1=I 3 | B.I 1<I 4 | C.I 2=2I 1 | D.I 2<I 3+I 4 |
如图所示的两种电路中,电源相同,各电阻器阻值相等,各电流表的内阻相等且不可忽略不计.电流表A1、A2、A3和A4读出的电流值分别为I1、I2、I3和I4.下列关系式中正确的是( )![]()
| A.I1=I 3 | B.I 1<I 4 |
| C.I 2=2I 1 | D.I 2<I 3+I 4 |