题目内容

一物体做匀变速直线运动,某时刻速度的大小为4m/s,1s后速度大小变为10m/s,在这1s内该物体的

[  ]

A.位移的大小可能小于4m

B.位移的大小可能大于10m

C.加速度的大小可能小于

D.加速度的大小可能大于

答案:AD
解析:

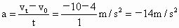
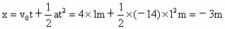
物体做匀变速直线运动,已知条件中涉及到时间和速度的大小,所以可根据公式,即可求得加速度和位移.但此题只给出了1s末的速度大小而不知方向,所以应有两种可能性.当匀加速时;当匀减速时,,是一种往返式的匀变速运动作为一个过程来处理

.速度是矢量应对其方向作出可能的假设.


练习册系列答案
相关题目

违法和不良信息举报电话:027-86699610 举报邮箱:58377363@163.com

精英家教网