题目内容
宇宙飞船在半径为R1的轨道上运行,变轨后的半径为R2,R1>R2.宇宙飞船绕地球做匀速圆周运动,则变轨后宇宙飞船的( )A.线速度变小
B.角速度变小
C.周期变大
D.向心加速度变大
【答案】分析:宇宙飞船绕地球做匀速圆周运动,靠万有引力提供向心力,根据牛顿第二定律和万有引力定律得出线速度、角速度、周期、向心加速度与轨道半径的关系,从而判断出它们大小的变化.
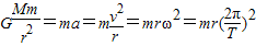
解答:解:根据
得,a=
,v=
,ω=
,T=
,变轨后半径减小,则线速度、角速度、向心加速度变大,周期变小.故D正确,A、B、C错误.
故选D.
点评:解决本题的关键掌握万有引力提供向心力
,知道线速度、角速度、周期、向心加速度与轨道半径的关系.
解答:解:根据
故选D.
点评:解决本题的关键掌握万有引力提供向心力
练习册系列答案
相关题目
宇宙飞船在半径为R1的轨道上绕地球做匀速圆周运动,变轨后的半径变为R2,已知R1>R2,则飞船的( )
| A.线速度变小 | B.角速度变小 |
| C.周期变大 | D.向心加速度变大 |