题目内容
水平光滑直轨道ab与半径为R的竖直半圆形光滑轨道bc相切,一小球以初速度v沿直轨道ab向右运动,如图所示,小球进入半圆形轨道后刚好能通过c点,然后小球做平抛运动落在直轨道上的d点,则( )A.小球到达c点的速度为
B.小球到达b点时对轨道的压力为5mg
C.小球在直轨道上的落点d与b点距离为4R
D.小球从c点落到d点所需时间为2
【答案】分析:小球恰好通过C点,根据重力恰好等于向心力求出C点的速度;对从B到C过程运用机械能守恒定律求出B点的速度,再根据在B点支持力和重力的合力提供向心力,求出支持力;小球离开C点后做平抛运动,根据分位移公式列式求解分析.
解答:解;A、小球恰好通过最高点C,根据重力提供向心力,有

解得

故A正确;
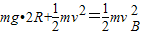
B、小球从B到C机械能守恒,有

解得

在B点,支持力和重力的合力提供向心力,有

解得
N=6mg
故B错误;
C、D、小球离开C点后做平抛运动,有
x=vt
2R=
解得

x=2R
故C错误,D也错误;
故选A.
点评:本题关键是明确小球的运动情况,然后分过程运用机械能守恒定律、平抛运动的分位移公式和向心力公式列式求解.
解答:解;A、小球恰好通过最高点C,根据重力提供向心力,有
解得
故A正确;
B、小球从B到C机械能守恒,有
解得
在B点,支持力和重力的合力提供向心力,有
解得
N=6mg
故B错误;
C、D、小球离开C点后做平抛运动,有
x=vt
2R=
解得
x=2R
故C错误,D也错误;
故选A.
点评:本题关键是明确小球的运动情况,然后分过程运用机械能守恒定律、平抛运动的分位移公式和向心力公式列式求解.
练习册系列答案
相关题目
A、小球到达c点的速度为
| ||||
| B、小球到达b点时对轨道的压力为5mg | ||||
| C、小球在直轨道上的落点d与b点距离为2R | ||||
D、小球从c点落到d点所需时间为2
|