题目内容
如图所示,一小滑块从斜面顶端A由静止开始沿斜面向下做匀加速直线运动到达底端C,已知AB=BC,则下列说法正确的是( )A.滑块到达B、C两点的速度之比为1:2
B.滑块到达B、C两点的速度之比为1:4
C.滑块通过AB、BC两段的时间之比为1:
D.滑块通过AB、BC两段的时间之比为(
【答案】分析:根据匀变速直线运动的速度位移公式v2=2ax求出滑块到达B、C两点的速度之比.在初速度为零的匀变速直线运动,在连续通过相等位移内的时间之比为:
.
解答:解:A、根据匀变速直线运动的速度位移公式v2=2ax得,v=
,所经过的位移比为1:2,则通过B、C两点的速度之比为1:
.故A、B错误.
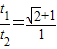
C、设AB段、BC段的长度为x,所经历的时间分别为t1,t2,根据匀变速直线运动的位移时间公式有:
,
,则
,所以
.故C错误,D正确.
故选D.
点评:解决本题的关键掌握初速度为零的匀变速直线运动的速度位移公式v2=2ax,以及位移时间公式x=
.
解答:解:A、根据匀变速直线运动的速度位移公式v2=2ax得,v=
C、设AB段、BC段的长度为x,所经历的时间分别为t1,t2,根据匀变速直线运动的位移时间公式有:
故选D.
点评:解决本题的关键掌握初速度为零的匀变速直线运动的速度位移公式v2=2ax,以及位移时间公式x=
练习册系列答案
相关题目