题目内容
如图甲所示是某种“研究平抛运动”的实验装置(1)当a小球从斜槽末端水平飞出时与b小球离地面的高度均为H,此瞬间电路断开,电磁铁释放b小球,最终两小球同时落地.该实验结果可表明______.
(A)两小球落地速度的大小相同
(B)两小球在空中运动的时间相等
(C)a球在竖直方向的分运动与b球的运动相同
(D)两小球在空中运动时竖直方向的加速度相等
(2)利用该实验装置研究a小球平抛运动的速度,从斜槽同一位置释放小球,实验得到小球运动轨迹中的三个点A、B、C,如图乙所示.图中O为坐标原点,B点在两坐标线交点,坐标xB=40cm,yB=20cm,A、C点均在坐标线的中点.则a小球在B点处的瞬时速度的大小vB=______m/s.
【答案】分析:(1)a球做平抛运动,b球做自由落体运动,两球同时落地,则运动时间相等,可知a球在竖直方向上的分运动为自由落体运动.
(2)通过图象知,AB、BC的水平位移相等,则运动的时间间隔相等,根据竖直方向上在相等时间内的位移之差是一恒量,求出时间间隔,再根据水平方向上匀速直线运动求出平抛运动的初速度.求出AC段竖直方向上的平均速度,该平均速度等于B点竖直方向上的瞬时速度,根据平行四边形定则求出B点的瞬时速度.
解答:解:(1)当a小球从斜槽末端水平飞出时与b小球离地面的高度均为H,此瞬间电路断开使电磁铁释放b小球,最终两小球同时落地,知运动时间相等,a球在竖直方向上的分运动与b小球的运动相同.故选BCD.
(2)A点的横坐标为20cm,纵坐标为5cm,C点的横坐标为60cm,纵坐标为45cm.根据△y=gT2得,T=
=
s=0.1s
则平抛运动的初速度v0=
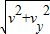
=2m/s.B点竖直方向上的分速度vy=
m/s=2m/s.则B点的瞬时速度vB=
≈2.83m/s.
故答案为:(1)BCD (2)2.83
点评:解决本题的关键掌握平抛运动水平方向和竖直方向上的运动规律,运用运动学公式灵活求解.
(2)通过图象知,AB、BC的水平位移相等,则运动的时间间隔相等,根据竖直方向上在相等时间内的位移之差是一恒量,求出时间间隔,再根据水平方向上匀速直线运动求出平抛运动的初速度.求出AC段竖直方向上的平均速度,该平均速度等于B点竖直方向上的瞬时速度,根据平行四边形定则求出B点的瞬时速度.
解答:解:(1)当a小球从斜槽末端水平飞出时与b小球离地面的高度均为H,此瞬间电路断开使电磁铁释放b小球,最终两小球同时落地,知运动时间相等,a球在竖直方向上的分运动与b小球的运动相同.故选BCD.
(2)A点的横坐标为20cm,纵坐标为5cm,C点的横坐标为60cm,纵坐标为45cm.根据△y=gT2得,T=
则平抛运动的初速度v0=
故答案为:(1)BCD (2)2.83
点评:解决本题的关键掌握平抛运动水平方向和竖直方向上的运动规律,运用运动学公式灵活求解.
练习册系列答案
相关题目
如图甲所示是某种“研究平抛运动”的实验装置:![]()
【小题1】当a小球从斜槽末端水平飞出时与b小球离地面的高度均为H,此瞬间电路断开使电磁铁释放b小球,最终两小球同时落地.该实验结果可表明( )
| A.两小球落地速度的大小相同 |
| B.两小球在空中运动的时间相等 |
| C.a小球在竖直方向的分运动与b小球的运动相同 |
| D.两小球在空中运动时的加速度相等 |
(6分)如图甲所示是某种“研究平抛运动”的实验装置:![]()
(1)当a小球从斜槽末端水平飞出时与b小球离地面的高度均为H,此瞬间电路断开使电磁铁释放b小球,最终两小球同时落地.该实验结果可表明( )
| A.两小球落地速度的大小相同 |
| B.两小球在空中运动的时间相等 |
| C.a小球在竖直方向的分运动与b小球的运动相同 |
| D.两小球在空中运动时的加速度相等 |