题目内容

一位质量为60kg的运动员,用12s时间跑完100m,设他在运动过程中受到的阻力保持不变,并且他在开始运动的前2s时间内作匀加速直线运动,后面10s时间内则保持他在第2s末时的瞬时功率值不变,继续作直线运动,最后一段时间作的是匀速运动。已知他在作匀速运动时的速度大小是11m/s。求

①他在跑这100m的过程中,平均功率多大?

②他在运动过程中受到的阻力多大?

答案:
解析:

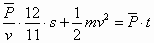
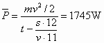
他作匀速运动时的功率  

根据功能关系       

即         

解出平均功率    

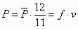
他受到的阻力   


练习册系列答案
相关题目

违法和不良信息举报电话:027-86699610 举报邮箱:58377363@163.com

精英家教网