题目内容

A、B两电阻的伏安特性曲线如图,它们的电阻之比RA:RB=    ;把它们并联在电路中,它们消耗的电功率之比PA:PB=   
【答案】分析:根据图象得到电阻,然后根据P=判断电功率.
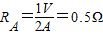
解答:解:图线A的电阻为:
图线B的电阻为:
故RA:RB=4:1;
把它们并联在电路中,它们的电压相同,根据P=,有:
PA:PB=
故答案为:4:1、1:4.
点评:本题关键根据I-U图象得到电阻,根据据P=计算电功率,基础题.
练习册系列答案
相关题目
(2011?安庆模拟)(1)在探究静摩擦力变化的规律及滑动摩擦力规律的实验中,特设计了如甲图所示的演示装置,力传感器A与计算机连接,可获得力随时间变化的规律,将力传感器固定在光滑水平桌面上,测力端通过细绳与一滑块相连(调节传感器高度可使细绳水平),滑块放在较长的小车上,小车一端连接一根轻绳并跨过光滑的轻定滑轮系一只空沙桶(调节滑轮可使桌面上部细绳水平),整个装置处于静止状态.实验开始时打开传感器同时缓慢向沙桶里倒入沙子,小车一旦运动起来,立即停止倒沙子,若力传感器采集的图象如乙图,则结合该图象,下列说法正确的是:
ABC
ABC


A.可求出空沙桶的重力
B.可求出滑块与小车之间的滑动摩擦力的大小
C.可求出滑块与小车之间的最大静摩擦力的大小
D.可判断第50秒后小车做匀速直线运动(滑块仍在车上)
(2)某研究性学习小组设计了如丙图所示的电路,其中A、B为接线柱,备用器材如下:
电流表A1(量程0--0.6A,内阻约0.5Ω),电流表A2(量程0--100mA,内阻约1Ω);电压表V1(量程0--3V,内阻约2kΩ),电压表V2(量程0--15V,内阻约3kΩ);电源E1(电动势3V,内阻可不计),电源E2(电动势15V,内阻可不计).滑动变阻器、开关、导线等.

①用此电路来进行“描绘小灯泡的伏安特性曲线”的实验,选用电流表A1、电压表V1、电源E1等器材安装好电路后,把标有“2.8V,1.5W”的小灯泡接在A、B两接线柱上,在实验时应把单刀双掷开关K2置于位置
1
1
(填1或2).
②用此电路来进行“测定金属的电阻率”的实验,把电阻约为200Ω的电阻丝两端分别接在A、B接线柱上,测出电阻丝的有效长度和直径,其中一次测直径的示数如丁图所示,读出金属丝直径为
0.620
0.620
 mm.
测金属丝的电阻时,选用电源E2、电压表V2,则电流表应选用
A2
A2
;单刀双掷开关K2应置于位置
2
2
;那么测出的电阻值
大于
大于
真实值(填大于、等于、小于).
(1)在探究静摩擦力变化的规律及滑动摩擦力规律的实验中,特设计了如甲图所示的演示装置,力传感器A与计算机连接,可获得力随时间变化的规律,将力传感器固定在光滑水平桌面上,测力端通过细绳与一滑块相连(调节传感器高度可使细绳水平),滑块放在较长的小车上,小车一端连接一根轻绳并跨过光滑的轻定滑轮系一只空沙桶(调节滑轮可使桌面上部细绳水平),整个装置处于静止状态.实验开始时打开传感器同时缓慢向沙桶里倒入沙子,小车一旦运动起来,立即停止倒沙子,若力传感器采集的图象如乙图,则结合该图象,下列说法正确的是:   

A.可求出空沙桶的重力
B.可求出滑块与小车之间的滑动摩擦力的大小
C.可求出滑块与小车之间的最大静摩擦力的大小
D.可判断第50秒后小车做匀速直线运动(滑块仍在车上)
(2)某研究性学习小组设计了如丙图所示的电路,其中A、B为接线柱,备用器材如下:
电流表A1(量程0--0.6A,内阻约0.5Ω),电流表A2(量程0--100mA,内阻约1Ω);电压表V1(量程0--3V,内阻约2kΩ),电压表V2(量程0--15V,内阻约3kΩ);电源E1(电动势3V,内阻可不计),电源E2(电动势15V,内阻可不计).滑动变阻器、开关、导线等.

①用此电路来进行“描绘小灯泡的伏安特性曲线”的实验,选用电流表A1、电压表V1、电源E1等器材安装好电路后,把标有“2.8V,1.5W”的小灯泡接在A、B两接线柱上,在实验时应把单刀双掷开关K2置于位置    (填1或2).
②用此电路来进行“测定金属的电阻率”的实验,把电阻约为200Ω的电阻丝两端分别接在A、B接线柱上,测出电阻丝的有效长度和直径,其中一次测直径的示数如丁图所示,读出金属丝直径为     mm.
测金属丝的电阻时,选用电源E2、电压表V2,则电流表应选用    ;单刀双掷开关K2应置于位置    ;那么测出的电阻值    真实值(填大于、等于、小于).

违法和不良信息举报电话:027-86699610 举报邮箱:58377363@163.com

精英家教网