ÌâÄ¿ÄÚÈÝ
ÈçͼËùʾ£¬ÖÊÁ¿M=8kgµÄ³¤Ä¾°å·ÅÔÚ¹â»¬Ë®Æ½ÃæÉÏ£¬ÔÚ³¤Ä¾°åµÄÓÒ¶ËÊ©¼ÓһˮƽºãÁ¦F=8N£¬µ±³¤Ä¾°åÏòÓÒµÄÔ˶¯ËÙÂÊ´ïµ½v1=10m/sʱ£¬ÔÚÆäÓÒ¶ËÓÐÒ»ÖÊÁ¿m=2kgµÄСÎï¿é£¨¿ÉÊÓΪÖʵ㣩ÒÔˮƽÏò×óµÄËÙÂÊv2=2m/s»¬ÉÏľ°å£¬Îï¿éÓ볤ľ°å¼äµÄ¶¯Ä¦²ÁÒòÊý¦Ì=0.2£¬Ð¡Îï¿éʼÖÕûÀ뿪³¤Ä¾°å£¬gÈ¡10m/s2£®Ç󣺣¨1£©¾¹ý¶à³¤Ê±¼äСÎï¿éÓ볤ľ°åÏà¶Ô¾²Ö¹£»
£¨2£©³¤Ä¾°åÖÁÉÙÒª¶à³¤²ÅÄܱ£Ö¤Ð¡Îï¿é²»»¬À볤ľ°å£®
¡¾´ð°¸¡¿·ÖÎö£º£¨1£©Ð¡Îï¿é»¬Éϳ¤Ä¾°åºóÏÈ×öÔȼõËÙÖ±ÏßÔ˶¯£¬È»ºó×öÔȼÓËÙÖ±ÏßÔ˶¯£¬ÔÚÕû¸ö¹ý³ÌÖмÓËٶȲ»±ä£¬µ±Ä¾¿éÓ볤ľ°åËÙ¶ÈÏàµÈʱ£¬Á½Õß±£³ÖÏà¶Ô¾²Ö¹£®¸ù¾ÝÔȱäËÙÖ±ÏßÔ˶¯µÄËٶȹ«Ê½Çó³ö¾ÀúµÄʱ¼ä£®
£¨2£©Ð¡Îï¿é·ÅÉÏľ°åºó£¬ÔÚ±£³ÖÏà¶Ô¾²Ö¹Ê±¼äÄÚµÄÎ»ÒÆÓëľ°åµÄÎ»ÒÆÖ®²îµÈÓÚСÎï¿éµÄÏà¶ÔÎ»ÒÆ£¬¼´Îª³¤Ä¾°åÖÁÉٵij¤¶È£®
½â´ð£º½â£º£¨1£©Ð¡Îï¿éµÄ¼ÓËÙ¶ÈΪa2=¦Ìg=2m/s2£¬Ë®Æ½ÏòÓÒ
³¤Ä¾°åµÄ¼ÓËÙ¶ÈΪ£º
m/s2 ˮƽÏòÓÒ
Áî¸ÕÏà¶Ô¾²Ö¹Ê±ËûÃǵĹ²Í¬ËÙ¶ÈΪv£¬ÒÔľ°åÔ˶¯µÄ·½ÏòΪÕý·½Ïò
¶ÔСÎï¿éÓУºv=-v2+a2t
¶Ôľ°åÓУºv=v1+a1t
½âµÃ£ºt=8s£»v=14m/s
¹Ê¾¹ý8sСÎï¿éÓ볤ľ°å±£³ÖÏà¶Ô¾²Ö¹£®
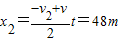
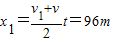
£¨2£©´Ë¹ý³ÌÖÐСÎï¿éµÄÎ»ÒÆÎª£º

³¤Ä¾°åµÄÎ»ÒÆÎª£º
ËùÒÔ³¤Ä¾°åµÄ³¤¶ÈÖÁÉÙΪ£ºL=x1-x2=48m£®
¹Ê³¤Ä¾°åÖÁÉٵij¤¶ÈΪ48m£®
µãÆÀ£º½â¾ö±¾ÌâµÄ¹Ø¼üÖªµÀСÎï¿é»¬Éϳ¤Ä¾°åºóÏÈ×öÔȼõËÙÖ±ÏßÔ˶¯£¬È»ºó×öÔȼÓËÙÖ±ÏßÔ˶¯£®³¤Ä¾°åµÄÖÁÉÙ³¤¶ÈµÈÓÚÎï¿éµÄÎ»ÒÆºÍľ°åµÄÎ»ÒÆÖ®²î£®
£¨2£©Ð¡Îï¿é·ÅÉÏľ°åºó£¬ÔÚ±£³ÖÏà¶Ô¾²Ö¹Ê±¼äÄÚµÄÎ»ÒÆÓëľ°åµÄÎ»ÒÆÖ®²îµÈÓÚСÎï¿éµÄÏà¶ÔÎ»ÒÆ£¬¼´Îª³¤Ä¾°åÖÁÉٵij¤¶È£®
½â´ð£º½â£º£¨1£©Ð¡Îï¿éµÄ¼ÓËÙ¶ÈΪa2=¦Ìg=2m/s2£¬Ë®Æ½ÏòÓÒ
³¤Ä¾°åµÄ¼ÓËÙ¶ÈΪ£º
Áî¸ÕÏà¶Ô¾²Ö¹Ê±ËûÃǵĹ²Í¬ËÙ¶ÈΪv£¬ÒÔľ°åÔ˶¯µÄ·½ÏòΪÕý·½Ïò
¶ÔСÎï¿éÓУºv=-v2+a2t
¶Ôľ°åÓУºv=v1+a1t
½âµÃ£ºt=8s£»v=14m/s
¹Ê¾¹ý8sСÎï¿éÓ볤ľ°å±£³ÖÏà¶Ô¾²Ö¹£®
£¨2£©´Ë¹ý³ÌÖÐСÎï¿éµÄÎ»ÒÆÎª£º
³¤Ä¾°åµÄÎ»ÒÆÎª£º
ËùÒÔ³¤Ä¾°åµÄ³¤¶ÈÖÁÉÙΪ£ºL=x1-x2=48m£®
¹Ê³¤Ä¾°åÖÁÉٵij¤¶ÈΪ48m£®
µãÆÀ£º½â¾ö±¾ÌâµÄ¹Ø¼üÖªµÀСÎï¿é»¬Éϳ¤Ä¾°åºóÏÈ×öÔȼõËÙÖ±ÏßÔ˶¯£¬È»ºó×öÔȼÓËÙÖ±ÏßÔ˶¯£®³¤Ä¾°åµÄÖÁÉÙ³¤¶ÈµÈÓÚÎï¿éµÄÎ»ÒÆºÍľ°åµÄÎ»ÒÆÖ®²î£®
Á·Ï°²áϵÁдð°¸
Ïà¹ØÌâÄ¿