题目内容
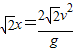
平抛物体的初速度为v,当水平方向分位移与竖直方向分位移相等时,不正确的是( )A.运动的时间t=
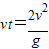
B.瞬时速率vt=
C.水平分速度与竖直分速度大小相等
D.位移大小等于
【答案】分析:平抛运动在水平方向上做匀速直线运动,在竖直方向上做自由落体运动,抓住水平方向分位移与竖直方向分位移相等,求出运动的时间,从而求出水平分速度和竖直分速度和合速度.
解答:解:A、当水平方向分位移与竖直方向分位移相等时有:
,解得t=
.故A正确.
B、水平分速度vx=v,竖直分速度vy=gt=2v,两分速度不等,合速度v=
.故B正确,C错误.
D、水平位移x=
,所以位移大小s=
.故D正确.
本题选错误的,故选C.
点评:解决本题的关键知道平抛运动水平方向和竖直方向上的运动规律,抓住分运动和合运动具有等时性进行求解.
解答:解:A、当水平方向分位移与竖直方向分位移相等时有:
B、水平分速度vx=v,竖直分速度vy=gt=2v,两分速度不等,合速度v=
D、水平位移x=
本题选错误的,故选C.
点评:解决本题的关键知道平抛运动水平方向和竖直方向上的运动规律,抓住分运动和合运动具有等时性进行求解.
练习册系列答案
相关题目