题目内容
物体以v的速度水平抛出,当竖直分位移与水平分位移大小相等时,以下说法正确的是( )A.竖直分速度等于水平分速度
B.瞬时速度的大小为
C.运动时间为
D.运动位移的大小为
【答案】分析:通过竖直分位移与水平分位移大小相等,求出时间,根据时间可求出竖直方向的分速度以及速度的大小和方向.
解答:解:A、竖直分位移与水平分位移大小相等,故
,解得
,故vy=gt=2v,故A错误;
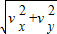
B、平抛运动瞬时速度的大小为v=
=
v0.故B正确;
C、竖直分位移与水平分位移大小相等,故
,解得
,故C正确;
D、竖直分位移与水平分位移大小相等,故
,解得
;故x=vt=
=y,合位移为S=
=
;故D正确;
故选BCD.
点评:解决本题的关键掌握处理平抛运动的方法,平抛运动可分解为水平方向上的匀速直线运动和竖直方向上的自由落体运动.且分运动与合运动具有等时性.
解答:解:A、竖直分位移与水平分位移大小相等,故
B、平抛运动瞬时速度的大小为v=
C、竖直分位移与水平分位移大小相等,故
D、竖直分位移与水平分位移大小相等,故
故选BCD.
点评:解决本题的关键掌握处理平抛运动的方法,平抛运动可分解为水平方向上的匀速直线运动和竖直方向上的自由落体运动.且分运动与合运动具有等时性.
练习册系列答案
相关题目