ÌâÄ¿ÄÚÈÝ
ÈçͼËùʾ£¬×°ÖõÄ×ó±ßÊÇ×ã¹»³¤µÄ¹â»¬Ë®Æ½Ã棬һÇáÖʵ¯»É×ó¶Ë¹Ì¶¨£¬ÓÒ¶ËÁ¬½Ó×ÅÖÊÁ¿ M=2kgµÄСÎï¿éA£®×°ÖõÄÖмäÊÇˮƽ´«ËÍ´ø£¬ËüÓë×óÓÒÁ½±ßµÄÌ¨ÃæµÈ¸ß£¬²¢ÄÜÆ½»¬¶Ô½Ó£®´«ËÍ´øÊ¼ÖÕÒÔu=2m/s µÄËÙÂÊÄæÊ±Õëת¶¯£®×°ÖõÄÓÒ±ßÊÇÒ»¹â»¬µÄÇúÃæ£¬ÖÊÁ¿m=1kgµÄСÎï¿éB´ÓÆäÉϾàË®Æ½Ì¨Ãæh=1.0m´¦Óɾ²Ö¹ÊÍ·Å£®ÒÑÖªÎï¿éBÓë´«ËÍ´øÖ®¼äµÄĦ²ÁÒòÊý¦Ì=0.2£¬l=1.0m£®ÉèÎï¿éA¡¢BÖм䷢ÉúµÄÊǶÔÐĵ¯ÐÔÅöײ£¬µÚÒ»´ÎÅöײǰÎï¿éA¾²Ö¹ÇÒ´¦ÓÚÆ½ºâ״̬£®È¡g=10m/s2£®£¨1£©ÇóÎï¿éBÓëÎï¿éAµÚÒ»´ÎÅöײǰËÙ¶È´óС£»
£¨2£©Í¨¹ý¼ÆËã˵Ã÷Îï¿éBÓëÎï¿éAµÚÒ»´ÎÅöײºóÄÜ·ñÔ˶¯µ½ÓÒ±ßÇúÃæÉÏ£¿
£¨3£©Èç¹ûÎï¿éA¡¢Bÿ´ÎÅöײºó£¬Îï¿éAÔٻص½Æ½ºâλÖÃʱ¶¼»áÁ¢¼´±»Ëø¶¨£¬¶øµ±ËûÃÇÔÙ´ÎÅö×²Ç°Ëø¶¨±»½â³ý£¬ÊÔÇó³öÎï¿éBµÚn´ÎÅöײºóµÄÔ˶¯ËÙ¶È´óС£®
¡¾´ð°¸¡¿·ÖÎö£º£¨1£©Îï¿éBÑØ¹â»¬ÇúÃæÏ»¬µ½Ë®Æ½Î»ÖÃÓÉ»úеÄÜÊØºãÁгöµÈʽ£¬Îï¿éBÔÚ´«ËÍ´øÉÏ»¬¶¯¸ù¾ÝÅ£¶ÙµÚ¶þ¶¨ÂɺÍÔ˶¯Ñ§¹«Ê½Çó½â
£¨2£©Îï¿éA¡¢BµÚÒ»´ÎÅöײǰºóÔËÓö¯Á¿Êغ㣬ÄÜÁ¿ÊغãÁгöµÈʽÇó½â
£¨3£©µ±Îï¿éBÔÚ´«ËÍ´øÉÏÏòÓÒÔ˶¯µÄËÙ¶ÈΪÁãʱ£¬½«»áÑØ´«ËÍ´øÏò×ó¼ÓËÙ£®¿ÉÒÔÅжϣ¬Îï¿éBÔ˶¯µ½×ó±ßÌ¨ÃæÊǵÄËÙ¶È´óСΪv1£¬¼Ì¶øÓëÎï¿éA·¢ÉúµÚ¶þ´ÎÅöײ£®Îï¿éBÓëÎï¿éAµÚÈý´ÎÅöײ¡¢µÚËÄ´ÎÅöײ¡£¬¸ù¾Ý¶ÔÓڵĹæÂÉÇó³ön´ÎÅöײºóµÄÔ˶¯ËÙ¶È´óС£®
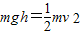
½â´ð£º½â£º£¨1£©ÉèÎï¿éBÑØ¹â»¬ÇúÃæÏ»¬µ½Ë®Æ½Î»ÖÃʱµÄËÙ¶È´óСΪv
ÓÉ»úеÄÜÊØºãÖª

ÉèÎï¿éBÔÚ´«ËÍ´øÉÏ»¬¶¯¹ý³ÌÖÐÒòÊÜĦ²ÁÁ¦Ëù²úÉúµÄ¼ÓËÙ¶È´óСΪa¦Ìmg=ma
ÉèÎï¿éBͨ¹ý´«ËÍ´øºóÔ˶¯ËÙ¶È´óСΪv£¬ÓÐ
½âµÃv=4m/s
ÓÉÓÚv£¾u=2m/s£¬ËùÒÔv=4m/s¼´ÎªÎï¿éBÓëÎï¿éAµÚÒ»´ÎÅöײǰµÄËÙ¶È´óС
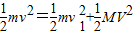
£¨2£©ÉèÎï¿éA¡¢BµÚÒ»´ÎÅöײºóµÄËÙ¶È·Ö±ðΪV¡¢v1£¬È¡ÏòÓÒΪÕý·½Ïò£¬
Óɵ¯ÐÔÅöײ£¬ÔËÓö¯Á¿Êغ㣬ÄÜÁ¿ÊغãµÃ
-mv=mv1+MV

½âµÃ
£¬¼´ÅöײºóÎï¿éBÔÚË®Æ½Ì¨ÃæÏòÓÒÔÈËÙÔ˶¯
ÉèÎï¿éBÔÚ´«ËÍ´øÉÏÏòÓÒÔ˶¯µÄ×î´óÎ»ÒÆÎªl'£¬Ôò


ËùÒÔÎï¿éB²»ÄÜͨ¹ý´«ËÍ´øÔ˶¯µ½ÓұߵÄÇúÃæÉÏ
£¨3£©µ±Îï¿éBÔÚ´«ËÍ´øÉÏÏòÓÒÔ˶¯µÄËÙ¶ÈΪÁãʱ£¬½«»áÑØ´«ËÍ´øÏò×ó¼ÓËÙ£®¿ÉÒÔÅжϣ¬Îï¿éBÔ˶¯µ½×ó±ßÌ¨ÃæÊǵÄËÙ¶È´óСΪv1£¬¼Ì¶øÓëÎï¿éA·¢ÉúµÚ¶þ´ÎÅöײ£®
ÉèµÚ¶þ´ÎÅöײºóÎï¿éBËÙ¶È´óСΪv2£¬Í¬ÉϼÆËã¿ÉÖª
Îï¿éBÓëÎï¿éAµÚÈý´ÎÅöײ¡¢µÚËÄ´ÎÅöײ¡£¬
ÅöײºóÎï¿éBµÄËÙ¶È´óСÒÀ´ÎΪ
¡
ÔòµÚn´ÎÅöײºóÎï¿éBµÄËÙ¶È´óСΪ
´ð£º£¨1£©Îï¿éBÓëÎï¿éAµÚÒ»´ÎÅöײǰËÙ¶È´óСÊÇ4m/s £¨2£©Îï¿éBÓëÎï¿éAµÚÒ»´ÎÅöײºó²»ÄÜÔ˶¯µ½ÓÒ±ßÇúÃæÉÏ £¨3£©Îï¿éBµÚn´ÎÅöײºóµÄÔ˶¯ËÙ¶È´óСÊÇ
µãÆÀ£º±¾ÌâÊǶà¹ý³ÌÎÊÌ⣬·ÖÎö»¬¿é¾ÀúµÄ¹ý³Ì£¬ÔËÓö¯Á¿Êغ㣬ÄÜÁ¿Êغ㡢ţ¶ÙµÚ¶þ¶¨ÂɺÍÔ˶¯Ñ§¹«Ê½½áºÏ°´Ê±¼ä˳Ðò·ÖÎöºÍ¼ÆË㣬ÄѶȽϴó£®
£¨2£©Îï¿éA¡¢BµÚÒ»´ÎÅöײǰºóÔËÓö¯Á¿Êغ㣬ÄÜÁ¿ÊغãÁгöµÈʽÇó½â
£¨3£©µ±Îï¿éBÔÚ´«ËÍ´øÉÏÏòÓÒÔ˶¯µÄËÙ¶ÈΪÁãʱ£¬½«»áÑØ´«ËÍ´øÏò×ó¼ÓËÙ£®¿ÉÒÔÅжϣ¬Îï¿éBÔ˶¯µ½×ó±ßÌ¨ÃæÊǵÄËÙ¶È´óСΪv1£¬¼Ì¶øÓëÎï¿éA·¢ÉúµÚ¶þ´ÎÅöײ£®Îï¿éBÓëÎï¿éAµÚÈý´ÎÅöײ¡¢µÚËÄ´ÎÅöײ¡£¬¸ù¾Ý¶ÔÓڵĹæÂÉÇó³ön´ÎÅöײºóµÄÔ˶¯ËÙ¶È´óС£®
½â´ð£º½â£º£¨1£©ÉèÎï¿éBÑØ¹â»¬ÇúÃæÏ»¬µ½Ë®Æ½Î»ÖÃʱµÄËÙ¶È´óСΪv
ÓÉ»úеÄÜÊØºãÖª
ÉèÎï¿éBÔÚ´«ËÍ´øÉÏ»¬¶¯¹ý³ÌÖÐÒòÊÜĦ²ÁÁ¦Ëù²úÉúµÄ¼ÓËÙ¶È´óСΪa¦Ìmg=ma
ÉèÎï¿éBͨ¹ý´«ËÍ´øºóÔ˶¯ËÙ¶È´óСΪv£¬ÓÐ
½âµÃv=4m/s
ÓÉÓÚv£¾u=2m/s£¬ËùÒÔv=4m/s¼´ÎªÎï¿éBÓëÎï¿éAµÚÒ»´ÎÅöײǰµÄËÙ¶È´óС
£¨2£©ÉèÎï¿éA¡¢BµÚÒ»´ÎÅöײºóµÄËÙ¶È·Ö±ðΪV¡¢v1£¬È¡ÏòÓÒΪÕý·½Ïò£¬
Óɵ¯ÐÔÅöײ£¬ÔËÓö¯Á¿Êغ㣬ÄÜÁ¿ÊغãµÃ
-mv=mv1+MV
½âµÃ
ÉèÎï¿éBÔÚ´«ËÍ´øÉÏÏòÓÒÔ˶¯µÄ×î´óÎ»ÒÆÎªl'£¬Ôò
ËùÒÔÎï¿éB²»ÄÜͨ¹ý´«ËÍ´øÔ˶¯µ½ÓұߵÄÇúÃæÉÏ
£¨3£©µ±Îï¿éBÔÚ´«ËÍ´øÉÏÏòÓÒÔ˶¯µÄËÙ¶ÈΪÁãʱ£¬½«»áÑØ´«ËÍ´øÏò×ó¼ÓËÙ£®¿ÉÒÔÅжϣ¬Îï¿éBÔ˶¯µ½×ó±ßÌ¨ÃæÊǵÄËÙ¶È´óСΪv1£¬¼Ì¶øÓëÎï¿éA·¢ÉúµÚ¶þ´ÎÅöײ£®
ÉèµÚ¶þ´ÎÅöײºóÎï¿éBËÙ¶È´óСΪv2£¬Í¬ÉϼÆËã¿ÉÖª
Îï¿éBÓëÎï¿éAµÚÈý´ÎÅöײ¡¢µÚËÄ´ÎÅöײ¡£¬
ÅöײºóÎï¿éBµÄËÙ¶È´óСÒÀ´ÎΪ
ÔòµÚn´ÎÅöײºóÎï¿éBµÄËÙ¶È´óСΪ
´ð£º£¨1£©Îï¿éBÓëÎï¿éAµÚÒ»´ÎÅöײǰËÙ¶È´óСÊÇ4m/s £¨2£©Îï¿éBÓëÎï¿éAµÚÒ»´ÎÅöײºó²»ÄÜÔ˶¯µ½ÓÒ±ßÇúÃæÉÏ £¨3£©Îï¿éBµÚn´ÎÅöײºóµÄÔ˶¯ËÙ¶È´óСÊÇ
µãÆÀ£º±¾ÌâÊǶà¹ý³ÌÎÊÌ⣬·ÖÎö»¬¿é¾ÀúµÄ¹ý³Ì£¬ÔËÓö¯Á¿Êغ㣬ÄÜÁ¿Êغ㡢ţ¶ÙµÚ¶þ¶¨ÂɺÍÔ˶¯Ñ§¹«Ê½½áºÏ°´Ê±¼ä˳Ðò·ÖÎöºÍ¼ÆË㣬ÄѶȽϴó£®
Á·Ï°²áϵÁдð°¸
Ïà¹ØÌâÄ¿